Планирование погашения долга
Глава 7. Кредитные расчеты
Определение процентной ставки
Определение срока финансовой операции
Для определения срока финансовой операции используется функция КПЕР, которая вычисляет общее число периодов начисления процентов на основе постоянной процентной ставки. Данная функция используется как для единого платежа, так и для платежей, распределенных во времени.
Аргументы функции:
- норма;
- выплата;
- НЗ;
- БС;
- тип.
Все эти аргументы уже встречались в других функциях и имеют ту же самую сущность.
Пример. На какой срок может быть предоставлена сумма в размере 10 тыс. руб. под 12,5% годовых, при условии возврата 16 тыс. руб.
Решение:
| норма | 12,5% | ||
| выплата | |||
| НЗ | -10000 | ||
| БС | |||
| тип |
Значение 3,99.
Значит, на заданных условиях заем может быть предоставлен на 4 года.
Если платежи производятся несколько раз в год, то значение функции означает общее число периодов начисления процентов. Если необходимо срок платежа выразить в годах, то полученное значение необходимо разделить на число начислений процентов в году.
Пример. Через сколько лет вклад размером 500 руб. достигнет величины 1000 руб. при ставке процентов 13,94% с ежемесячным начислением процентов?
Решение:
| норма | 13,94% / 12 | ||
| выплата | |||
| НЗ | -500 | ||
| БС | |||
| тип |
Значение 60,01.
Это общее число раз начисления процентов, а в годах это будет 60 / 12 = 5 лет.
Для определения процентной ставки используется функция НОРМА, которая определяет значение процентной ставки за один расчетный период. Для расчета годовой процентной ставки полученное значение необходимо умножить на число данных периодов в году.
Аргументы функции:
- кпер;
- выплата;
- НЗ;
- БС;
- тип;
- предположение.
Здесь все аргументы, кроме последнего, уже встречались в выше рассмотренных функция. Аргумент предположение в большинстве случаев не используется, поскольку по умолчанию он считается равным 10%, но если функция возвращает значение ошибки, то в этом случае задается предполагаемое значение процентной ставки.
Пример. Рассчитать процентную ставку для четырехлетнего займа размером 7000 руб. с ежемесячным погашением по 250 руб.
Решение:
Определяем процентную ставку за месяц:
| кпер | 4 • 12 | ||
| выплата | -250 | ||
| НЗ | |||
| БС | |||
| тип | |||
| предположение |
Значение 2,46%.
Годовая процентная ставка
2,46 • 12 = 29,5.
Отсюда, годовая процентная ставка для данной финансовой операции составляет 29,5%.
7.1. Планирование погашения долга
7.1.1. Погашение долга единовременным платежом
7.1.2. Погашение долга в рассрочку
7.1.3. Потребительский кредит
Количественный анализ долгосрочной задолженности (займа) применяется для достижения сбалансированности, т.е. адекватности его параметров принятым условиям финансового соглашения, путем планирования погашения долга.
Планирование погашения долга заключается в определении периодических расходов, связанных с займом, – такие расходы называются обслуживанием долга. Разовая сумма обслуживания долга – срочная уплата, в которую входят:
- текущие процентные платежи;
- средства, для погашения (амортизации) основной суммы долга.
Размеры срочных уплат зависят от условий займа:
- срока;
- наличия и продолжительности льготного периода;
- уровня процентной ставки;
- способа погашения основной суммы долга и выплаты процентов.
Для кредитной схемы в качестве исходных параметров выступают величина займа (D), срок его погашения (n), процент по кредиту (i), под который выдаются деньги, и поток платежей по выплате долга (Yt).
Рассмотрим различные способы погашения задолженности, поскольку от выбора способа погашения стоимость кредита (сумма выплачиваемых процентов) будет различной. Здесь возможны два варианта:
а) погашение единовременным платежом, т.е. возврат всей суммы в оговоренный срок;
б) погашение долга в рассрочку, т.е. частями.
7.1.1.1. Погашение основной суммы долга единовременным платежом в конце срока с постоянной выплатой процентов. Рассмотрим погашение единовременным платежом. В простейшем случае кредит погашается единым платежом в конце срока:
Y = D • (1 + i) n,
где Y – срочная уплата;
D – сумма долга.
Этот платеж, как наращенная сумма долга, состоит из двух частей:
- возврат основной суммы долга (D);
- выплата процентов по долгу (I), где I = D • (1 + i) n - D.
В финансовой практике встречаются случаи, когда у кредитора возникает необходимость вернуть часть денег досрочно. В таких случаях возникает риск невозврата, поскольку требуемой суммы на такой момент времени может и не быть.
При значительной сумме долга разовый платеж требует создания так называемого фонда погашения, путем периодических взносов. Фонд погашения аккумулирует денежные средства, направленные на погашение задолженности. Наиболее эффективно размещение фонда погашения с начислением на взносы процентов, например, на специальном счете в банке. Не трудно заметить, что такие платежи по своей сути являются финансовой рентой (аннуитетом), поэтому задача сводится к определению одного из параметров финансовой ренты – члена ренты.
Здесь возможно два варианта.
Первый – выплата процентов по мере их начисления, а основная сумма денег возвращается в конце срока займа.
|
| Рис. 10. Единовременное погашение долга с выплатой процентов по мере их начисления |
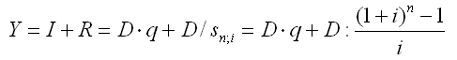
Если проценты выплачиваются ежегодно, тогда величина срочной уплаты (расходов должника по погашению долга) равна:
|
где D – первоначальная сумма долга;
q – ставка процентов по условиям займа;
sn; i – коэффициент наращения финансовой ренты;
n – срок долга в годах;
i – ставка процентов при создании фонда погашения.
Здесь фигурируют две ставки процентов: i – определяет скорость роста суммы фонда погашения; q – сумму выплачиваемых за заем процентов.
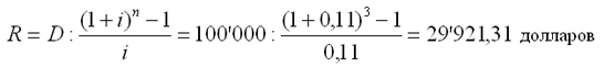
Пример. Долг 100 тыс. долларов выдан под 10% годовых на 3 года, с ежегодной выплатой процентов по долгу. Для погашения суммы долга единовременным платежом создается фонд, куда ежегодно вносятся равные суммы, на которые начисляются проценты по ставке 11%. Найти ежегодные расходы должника.
Решение:
Ежегодные расходы должника составляют величину срочной уплаты:
Y = I + R,
I = D • q = 100'000 • 0,1 = 10'000 долларов,
|
Отсюда
Y = 10'000 + 29'921,31 = 39'921,31 долларов.
Таким образом, ежегодные расходы должника по обслуживанию долга составят 39'921,31 долларов.
Однако, более наглядным и эффективным способом планирования долга является составление таблиц, в которых отражают все основные характеристики обслуживания долга:






