Рис.1. Рис.2.
При подключении напряжений к отдельным слоям биполярного транзистора оказывается, что к одному переходу приложено прямое напряжение, к другому – обратное. При этом переход, к которому при нормальном включении приложено прямое напряжение, называют эмиттерным, а соответствующий наружный слой – эмиттером (Э); средний слой называют базой (Б). Второй переход, смещенный в обратном направлении, называют коллекторным, а соответствующий наружный слой – коллектором (К).
Однотипность слоев коллектора и эмиттера позволяет при включении менять их местами. Такое включение называется инверсным.
В зависимости от технологии изготовления транзистора концентрация примесей в базе может быть распределена равномерно или неравномерно. При равномерном распределении внутреннее электрическое поле отсутствует и неосновные носители заряда, попавшие в базу, движутся в ней вследствие процесса диффузии. Такие транзисторы называются диффузионными или бездрефовыми. При неравномерном распределении концентрации примесей в базе имеется внутреннее электрическое поле и неосновные носители заряда движутся в ней в результате дрейфа и диффузии, причем дрейф играет доминирующую роль. Такие транзисторы называют дрейфовыми.
Для количественной оценки составляющих полного тока p-n- перехода используют коэффициент инжекции

Где
и
– дырочная и электронная составляющие тока p-n- перехода;
- полный ток p-n- перехода.

Рис.3. Схема движения носителей заряда в транзисторе
Математическая модель транзистора (модель Эберса- Молла).

Рис.4. Эквивалентная схема идеализированного транзистора, используемая при получении математической модели.
На рисунке каждый p-n- переход представлен в виде диода, а их взаимодействие отражено генераторами токов.
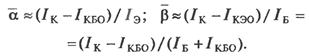
Токи эмиттера и коллектора в общем случае содержат две составляющие: инжектируемую (
) и собираемую (
):

Уравнение, описывающее выходные характеристики транзистора:

Выражение, характеризующее идеализированные входные характеристики транзистора:

Различают три основных режима работа биполярного транзистора: активный, отсечки, насыщения.
1. В активном режиме один из переходов биполярного транзистора смещен в прямом направлении приложенным к нему внешним напряжением, а другой – в обратном направлении.
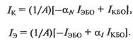
Для активного режима, когда |
| >>
и
,

Для учета эффекта, который наиболее сильно проявляется при работе в активном режиме, в уравнение добавляют дополнительное слагаемое

где
- дифференциальное сопротивление запертого коллекторного p-n- перехода.
Влияние напряжения на ток оценивается с помощью коэффициента обратной связи по напряжению

который показывает, во сколько раз следует изменять напряжение
для получения такого же изменения тока
, какое дает дает изменение напряжения
.
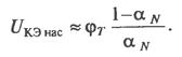
2. Врежиме глубокой отсечки оба перехода транзистора смещены в обратном направлении с помощью внешних напряжений. Значения их модулей должны превышать (3…5)
.
Учитывая, что напряжения
и
имеют знак минус, и считая, что |
|>3
и |
|>
, получим формулу для токов:

Подставив значения
, и раскрыв значение коэффициента А, получим:

Ток базы в режиме глубокой отсечки приблизительно равен току коллектора:

Режим глубокой отсечки характеризует запертое состояние транзистора, в котором его сопротивление максимально, а токи электродов минимальны. Он широко используется в импульсных устройствах, где биполярный транзистор выполняет функции электронного ключа.
3. При режиме насыщения оба p-n- перехода транзистора с помощью приложенных внешних напряжений смещены в прямом направлении. При этом падение напряжения на транзисторе минимально и оценивается десятками милливольт. Режим насыщения возникает тогда, когда ток коллектора транзистора ограничен параметрами внешнего источника энергии и при данной схеме включения не может превысить какое-то значение
. В тоже время параметры источника внешнего сигнала взяты такими, что ток эмиттера существенно больше максимального значения тока в коллекторной цепи:
.
Тогда коллекторный переход оказывается открытым, падение напряжения на транзисторе – минимальным и не зависящим от тока эмиттера. Его значение для нормального включения при малом токе
равно

Для инверсного включения

Для того, чтобы транзистор из активного режима перешел в режим насыщения, необходимо увеличить ток эмиттера (при нормальном включении) так, чтобы начало выполняться условие
.
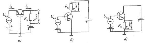
Три схемы включения транзистора. В зависимости от того, какой электрод транзистора является общим для входного и выходного сигналов, различают три схемы включения транзистора: с общей базой (ОБ), с общим эмиттером (ОМ), с общим коллектором (ОК).
В этих схемах источники постоянного напряжения и резисторы обеспечивают режимы работы транзисторов по постоянному току, т.е. необходимые значения напряжений и начальных токов. Входные сигналы переменного тока создаются источниками
. Они изменяют ток эмиттера транзистора, а соответственно и ток коллектора. Приращение тока коллектора (рис. 5, а, б) и тока эмиттера (рис. 5, в) соответственно на резисторах
и
создадут приращение напряжений, которые и являются выходными сигналами
. Параметры схем обычно выбирают так, чтобы
было во много раз больше вызвавшего его приращения
(рис. 5, а, б) или близко к нему (рис. 5, в).

Рис. 5. Включение транзистора по схеме с общей базой (а), с общим эмиттером (б), с общим коллектором (в)
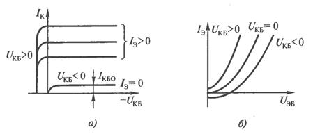
Вид входных и выходных вольт-амперных характеристик транзистора зависит от схемы включения его в цепь, что следует из полученной общей математической модели. Так, для схемы включения с ОБ, статические характеристики имеют вид, показанный на рисунке 6, для схемы с ОЭ – на рисунке 7. На рис. 6, а видны две области: активный режим (
< 0), и коллекторный переход смещен в обратном направлении; режим насыщения (
> 0), и коллекторный переход смещен в прямом направлении.

Рис. 6. Статические характеристики идеализированного транзистора, включенного по схеме с ОБ: а – выходные; б – входные.

Рис. 7. Выходные (а) и входные (б) характеристики транзистора, включенного оп схеме с ОЭ.
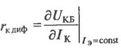
В цепях, где транзистор включен по схеме с ОЭ или ОК, удобно пользоваться не коэффициентом передачи эмиттерного тока
, а коэффициентом передачи базового тока β. Это обусловлено тем, что в подобных случаях обычно задается изменение тока базы. Найдем связь между
и β. Зная что
получим:


В большинстве случаев справедливо допущение, что
, с учетом которого уравнение примет вид:

Следует обратить внимание на то, что в схеме с ОЭ влияние тока
и сопротивления
на коллекторный ток увеличивается в 1 + β раз по сравнению со схемой с ОБ.
Коэффициенты β и
зависят от тока, протекающего через транзистор. Эта зависимость во многом определяется технологией, по которой изготовлен конкретный транзистор, и обусловлена процессами рекомбинации в области p-n- перехода, в базе и приповерхностных областях у эмиттерного перехода.
Для инженерных расчетов применяют различные упрощенный аппроксимации зависимости β от тока:

где
– коэффициент передачи при токе
.
Зависимость коэффициентов
и β от режима работы приводит к тому, что дифференциальные коэффициенты передачи эмиттерного и базового токов

не равны соответствующим интегральным коэффициентам передачи, в которых принято, что

Дифференциальные параметры
В этой системе аргументами являются Iвх, Uвых, Uвх, Iвых.
Токи напряжения четырехполюсника связаны следующим образом:


| 
| 
|
|
- входное сопротивление транзистора при короткозамкнутой выходной цепи.
- коэффициент обратной связи по напряжению при холостом ходе на входной цепи.
-коэффициент передачи тока при короткозамкнутой выходной цепи.
-выходная проводимость при холостом ходе входной цепи.
Эта система параметров описывает любую схему включения биполярного транзистора.
Низкочастотные параметры и их определения по характеристикам.
На низких частотах влияние реактивных элементов их инертностью процессов в транзисторах можно пренебречь. Уравнение для 4-ех полюсника будет иметь вид:


- амплитуда соответствующих комплексных величин.
Низкочастотные (статические) дифференциальные параметры транзисторов могут быть определены по статическим характеристикам.
Амплитудные значения напряжения и токов заменяются на линейные приращения:






Входная характеристика биполярного транзистора:
| Uкэ=const
Из этой же характеристики можно определить:
| Iб=const
Эта характеристика- коэффициент обратной связи - часть выходного напряжения, попадающего на снова на вход, так называемая паразитная часть.
Выходная характеристика биполярного транзистора:
-коэффициент передачи тока в схеме с общим эмиттером.
|Uкэ=const
|Iб=const
-выходная проводимость.
Схема с ОЭ:




| UКЭ=const
| IБ=const
|UКЭ=const
|IБ=const

-





