1 этап – окислительная фаза – осуществляется дегидрогеназно-декарбоксилазной системой. Эта фаза начинается с дегидрирования 6 молекул гл-6-ф с помощью гл-6-фДГ (НАДФ). При этом образуются восстановленные НАДФН(Н+) и фосфоглюконолактон, который снова дегидрируется НАДФ-зависимым ферментом и декарбоксилируется и через ряд промежуточных реакций превращается в пентозо-5-фосфат.
На первом, окислительном, этапе глюкозо-6-фосфат в трех реакциях превращается в рибулозо-5-фосфат, реакции сопровождаются восстановлением двух молекул НАДФ до НАДФН.
На этом этапе происходит регуляция процесса: инсулин повышает активность глюкозо-6-фосфат-дегидрогеназы и фосфоглюконат-дегидрогеназы.

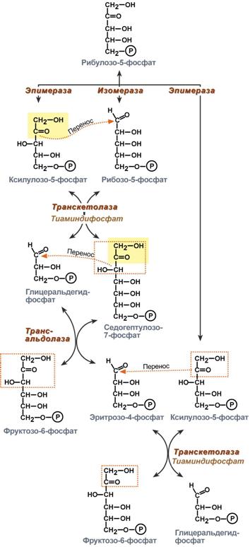
2 этап – этапструктурных перестроек, благодаря которым пентозы способны возвращаться в фонд гексоз. В этих реакциях рибулозо-5-фосфат изомеризуется до рибозо-5-фосфата и ксилулозо-5-фосфата. Далее под влиянием ферментов транскетолазы и трансальдолазы происходят структурные перестройки с образованием других моносахаридов. При реализации всех реакций второго этапа пентозы превращаются во фруктозо-6-фосфат и глицеральдегидфосфат.
Глицеральдегид-3-фосфат в зависимости от условий и вида клеток может либо "проваливаться" во 2-й этап гликолиза либо через диоксиацетонфосфат восстанавливаться до глицерол-3-фосфата и далее направляться в синтез фосфатидной кислоты и далее триацилглицеролов. При необходимости из него могут образоваться и гексозы. |
Значение пентозофосфатного пути окисления глюкозы:
1. За счет ПФЦ примерно 50% покрывается потребность организма в НАДФН(Н+), и может использоваться для следующих процессов – 1. В реакциях биосинтеза СЖК, ХС и КС, 2. В реакциях гидроксилирования при обезвреживании ксенобиотиков и некоторых эндогенных метаболитов, 3. В реакции восстановительного амминирования для обезвреживания аммиака и образование заменимых аминокислот. 4. Для восстановления окисленного глутатиона при участии ФАД-зависимого фермента ГР. 5. Для работы НАДФН-оксидазной системы клеток крови.
2. Пентозы, являющиеся промежуточными продуктами пентозного цикла, могут быть использованы для образования НК, Ко, НТФ, ГАГов
3. ПФЦ – это путь перехода избытка пентоз в глюкозу, а затем в гликоген






