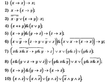
1. Установить, какие из следующих формул являются тождественно истинными, тождественно ложными путем преобразований и таблицы истинности.:
![]() | |||
![]() | |||
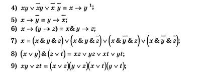
2. Упростить формулу:

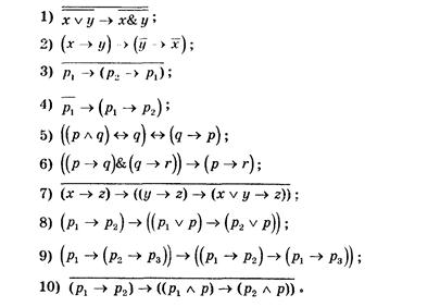
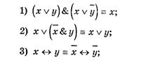
3. Доказать равносильность:

Контрольные вопросы
1. Какие формулы алгебры логики называются равносильными?
2. На какие классы подразделяются формулы?
3. Связь между понятиями равносильности и эквивалентности.
4. Перечислить равносильности первой группы важнейших равносильностей алгебры логики.
5. Перечислить равносильности, выражающие одни логические операции через другие.
6. Перечислить основные законы алгебры логики.
7. Что называется равносильным преобразованием формулы алгебры логики?

