ФЕРМЕНТЫ (F).
1. Понятие о F.
2.Строение F.
3.Коферменты (KO-F).
ПОНЯТИЕ О ФЕРМЕНТАХ.
Ферменты - это биологические катализаторы (КАТ) белковой природы. Роль ферментов в организме огромна. В каждой клетке организма находится до 10000 молекул ферментов, которые катализируют более 2000 различных химических реакций. Ферменты начинают своё каталитическое действие в ЖКТ, продолжают его в тканях, на этапе выведения и образования конечных продуктов. Все реакции в организме ферментативные. Энзимология (ферменты - энзимы) - раздел науки, изучающий ферменты.
ОБЩИЕ ЧЕРТЫ ФЕРМЕНТОВ И НЕБИОЛОГИЧЕСКИХ КАТАЛИЗАТОРОВ.
1. Повышают скорость реакции.
2. В реакциях они не расходуются.
3. Для обратимых процессов и прямая, и обратная реакция катализируется одним и тем же ферментом.
ОТЛИЧИТЕЛЬНЫЕ ПРИЗНАКИ ФЕРМЕНТОВ.
1.Ферменты обладают более высокой эффективностью действия (повышают скорость реакции в большее число раз, чем неорганические КАТ).
УРЕАЗА (гидролиз мочевины) повышает скорость реакции в 10 раз.

2.Ферменты чувствительны к температуре (ТЕРМОЛАБИЛЬНЫ)
|
|
|
3.Ферменты чувствительны к значениям РН среды.
4.Ферменты, в отличие от неорганических КАТ, обладают высокой специфичностью действия.
5.Ферменты - это катализаторы с регулируемой активностью.
Ферменты, являясь белками, повторяют все особенности структуры и состава белков (состоят из АК, имеют 4 уровня структурной организации), физико-химические свойства белков. Ферменты, как и все функциональные белки, могут быть простыми и сложными.
Простые ферменты представлены только белковой частью (состоят из АК) - ПЕПСИН, ТРИПСИН, ФОСФАТАЗЫ. В структурном отношении имеют 3 уровня организации (ГЛОБУЛА).
Сложные ферменты представлены:
1.Белковой частью (состоит из АК) - АПОФЕРМЕНТ;
2.Небелковой частью - КОФАКТОР.
Выделяют 2 основных КОФАКТОРА:
А. Ионы металлов (К, Na, Ca, Mg, Mn) большинство всех ферментов являются МЕТАЛЛОФЕРМЕНТАМИ. В продуктах питания должны обязательно содержаться микроэлементы.
В. КОФЕРМЕНТЫ - низкомолекулярные органические вещества не белковой природы.
Для многих ферментов его АПОФЕРМЕНТ вместе с КОФАКТОРОМ образуют каталитически активную молекулу, которая называется ХОЛОФЕРМЕНТОМ.
АПОФЕРМЕНТ+КОФАКТОР=ХОЛОФЕРМЕНТ.
СТРОЕНИЕ ФЕРМЕНТОВ.
В пространственной структуре фермента можно выделить отдельные участки, которые выполняют те или иные функции (активный центр, контактный участок, каталитический участок, АЛЛОСТЕРИЧЕСКИЙ центр).
Активный центр - это участок в молекуле фермента, где происходит связывание и превращение субстрата. АКТ. Ц обычно располагается в гидрофобном углублении (недоступном для молекул воды), изолируя субстрат от воды. В образовании АКТ. Ц, участвуют боковые группы АК (12-20 АК), причём эти АК могут находиться на разных участках ПОЛИПЕПТИДНОЙ цепи, но при формировании пространственной конфигурации фермента они укладываются т.о., что располагаются в области активного центра. В образовании активного центра принимают участие следующие группы боковых цепей АК:
|
|
|
- NH2 (АРГ,ЛИЗ)
- СООН (АСП, ГЛУ)
- SH (ЦИС)
- ОН (СЕР,ТРЕ)
- ИМИДАЗОЛ (ГИС)
- ГУАНИДИНО группа Фенольное кольцо (ТИР)
Остальные АК поддерживают пространственную конфигурацию активного центра фермента
и обеспечивают его реакционную способность.
Контактный (субстрат связывающий) участок -это место в активном центре фермента, где происходит связывание субстрата с его активным центром. Контактный участок обеспечивает специфическое сродство субстрата к ферменту.
Каталитический участок - место, где проходит сама каталитическая реакция.
АЛЛОСТЕРИЧЕСКИЙ (регуляторный) центр - участок в молекуле фермента, расположенный в др. месте, в отличие от активного центра. К АЛЛОСТЕРИЧЕСКОМУ центру могут присоединяться различные вещества, которые отличаются по структуре от молекул субстрата. Эти вещества называются АЛЛОСТЕРИЧЕСКИЕ ЭФФЕКТОРЫ. Они могут влиять на КОНФОРМАЦИЮ активного центра фермента, изменяя её, т.е. могут или повышать скорость реакции, или тормозить её. В роли АЛЛОСТЕРИЧЕСКИХ ЭФФЕКТОРОВ чаще всего выступают гормоны, лекарственные вещества и др. химические соединения.
КОФЕРМЕНТЫ (Ko-F).
КОФЕРМЕНТЫ являются или акцепторами, или донорами различных атомов, или даже атомных групп. Они чаще всего содержат в своём составе различные витамины, следовательно, их делят на две группы:
1.Витаминные.
2.Невитаминные.
Витаминные КОФЕРМЕНТЫ:
1.ТИАМИНОВЫЕ КОФЕРМЕНТЫ содержат в своём составе витамин В1 (ТИАМИН).
A.ТМФ - ТИАМИНМОНОФОСФАТ.
Б.ДФ или ТПФ - ТИАМИНДИФОСФАТ или ТИАМИНПИРОФОСФАТ
B.ТТФ - ТИАМИНТРИФОСФАТ.
ТПФ связана с ферментами ДЕКАРБОКСИЛАЗАМИ альфа КЕТОКИСЛОТ (ПВК, альфа КГК)

2.ФЛАВИНОВЫЕ КОФЕРМЕНТЫ содержат в своём составе витамин В 2.
1.ФМН - ФЛАВИНМОНОНУКЛЕОТИД.
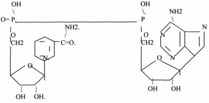
2.ФАД - ФЛАВИИАДЕНИНДИНУКЛЕОТИД. ФАД*Н2

ФМН и ФАД связанны с ферментами ДЕГИДРОГЕНАЗАМИ. Участвуют в реакциях ДЕГИДРИРОВАНИЯ, т.е. отнятия Н — ОВР.
3. ПАНТОТЕИНОВЫЕ КОФЕРМЕНТЫ содержат в своём составе витамин ВЗ (ПАНТОТЕИНОВАЯ К-ТА). KO-F A (HSK.O-A - HS КОЭНЗИМ А). КОФЕРМЕНТ АЦИЛИРОВАНИЯ.
4. НИКОТИНАМИДНЫЕ КОФЕРМЕНТЫ содержат в своём составе витамин РР
(НИАЦИН).
1.НАД (НИКОТИНАМИДАДЕНИНДИНУКЛЕОТИД). НАД * Н2. 2.НАДФ (НИКОТИНАМИДАДЕНИНДИНУКЛЕОТИДФОСФАТ). НАДФ*Н2.

НАД и НАДФ также связаны с ферментами ДЕГИДРОГЕНАЗАМИ, которые в окислительно-восстановительных реакциях (реакции ДЕГИДРИРОВАНИЯ) - анаэробные ДГ.
5.ПИРИДОКСИНОВЫЕ КОФЕРМЕНТЫ содержат в своём составе витамин В6. ПАФ - ПИРИДОКСАМИНОФОСФАТ.
ПФ - ПИРИДОКСАЛЬФОСФАТ.Участвует в реакциях превращения АК:
1.Реакции ПЕРЕАМИНИРОВАНИЯ (ТРАНСАМИНИРОВАНИЕ). Связан с ферментами АМИНОТРАНСФЕРАЗАМИ.
2.РЕАКЦИИ ДЕКАРБОКСИЛИРОВАНИЯ АК.
НЕВИТАМИНЫЕ КОФРМЕНТЫ:
Не содержат в своём составе витаминов, но участвуют в каталитических превращениях.
1.НУКЛЕОТИДЫ: АТФ, ЦТФ (синтез ФОСФОЛИПИДОВ); УДФ, УТФ, ГТФ (синтез
ГЛИКОГЕНА).
2.ПРОИЗВОДНЫЕ ПОРФИРИНА: ГЕМ, ЦИТОХРОМЫ, КАТАЛАЗА.
3.ПЕПТИДЫ:
ГЛУТАТИОН - ТРИПЕПТИД, содержащий ГЛУ-ЦИС-ГЛИ. Он связан с ферментами ОКСИДОРЕДУКТАЗАМИ. Участвует в окислительно-восстановительных реакциях.
4.ИОНЫ РАЗЛИЧНЫХ МЕТАЛЛОВ.






