На обеих стадиях окисления жирных кислот атомы водорода или соответствующие им электроны передаются по митохондриальной цепи переноса электронов на кислород. С этим потоком электронов сопряжен процесс окислительного фосфорилирования.
В 1949 г. Юджин Кеннеди и Альберт Ленинджер обнаружили, что окисление жирных кислот происходит в митохондриях. Перед проникновением в митохондрии жирные кислоты подвергаются активации.
1. Активация жирной кислоты происходит в митохондриальной мембране, где она катализируется ацил-КоА-синтетазой:
R – СООН + АТФ + НSКоА
R – СОSКоА + АМФ + РР1
В результате этой реакции образуется Акцил-КоА и одновременно АТФ расщепляется до АМФ и неорганический пирофосфат. Это сопряженная реакция: энергия, высвобождающаяся при расщеплении АТФ на АМФ и пирофосфат, используется в активном центре фермента для образования новой тиоэфирной связи.
2. Перенос остатка жирной кислоты через мембрану митохондрий осуществляется карнитином:
Ацил-КоА + карнитин
Ацил-карнитин + НSКоА
На внутренней мембране митохондрий происходит регенерация КоА-производных жирных кислот и Ацил-КоА поступает в матрикс митохондрий:
Ацилкарнитин + НSКоА
Ацил-КоА + карнитин
В процессе действуют два пула КоА – цитозольный и митохондриальный. Эти пулы выполняют разные функции. Митохондриальный пул КоА используется для окислительного расщепления пирувата, жирных кислот и некоторых аминокислот, тогда ка цитозольный пул участвует в биосинтезе жирных кислот.
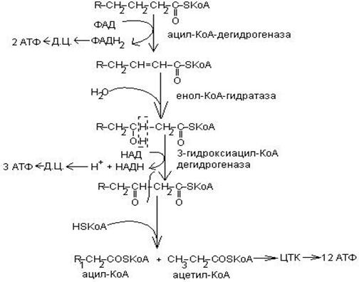
Процесс окисления жирных кислот в митохондриях состоит из 2 стадий. На первой стадии происходит отщепление двухуглеродных фрагментов – в виде ацетил-КоА.
На второй стадии окисления жирных кислот остатки ацетил-КоА окисляются в цикле лимонной кислоты до СО2 и Н2О. Таким образом, ацетил-КоА, образующийся в результате окисления жирных кислот, поступает на общий конечный путь окисления вместе с ацетил-КоА, образующимся из глюкозы через реакцию окисления пирувата.
Этапы
- окисления

Атомы водорода, отщепляемые от
ацил-КоА, переносятся на ФАД, затем на убихинон и дальше по дыхательной цепи к кислороду. В результате переноса этой пары протонов и
по дыхательной цепи к кислороду образуются две молекулы АТФ путем окислительного фосфорилирования АДФ.
На третьем этапе окисления жирных кислот имеет место передача протонов и
на НАД. Образовавшийся в этой реакции НАДН передает затем восстановительные эквиваленты НАДН – дегидрогеназе дыхательной цепи. На каждую пару электронов, переходящих по цепи переноса электронов от НАДН к кислороду образуется 3 молекулы АТФ.
Расчет выхода энергии при окислении жирной кислоты
1. Подсчет количества молекул Ацетил-КоА, образовавшихся при окислении жирной кислоты:
N = 
п – число атомов углерода в молекуле жирной кислоты
2– число атомов углерода в молекуле Ацетил-КоА
2. Число витков
- окисления
- 1 (число витков
-окисления на единицу меньше, чем число молекул СН3CОSКоА, т.к. при окислении четырех углеродного остатка жирной кислоты сразу образуется 2 молекулы СН3СОSКоА)
3. Количество АТФ, образующихся в процессе
-окисления
1 виток
-окисления - 5 АТФ
(
- 1) витков
-окисления - х АТФ
1 молекула СН3СОSКоА - 12 АТФ
N молекул СН3СОSКоА - y