Критерием работоспособности соединения призматическими шпонками являются сопротивление смятию боковых поверхностей.
Поперечное сечение шпонки подбирают по каталогу по диаметру вала, потребная длина шпонки l определяется по длине ступицы l = lст – 10 мм и уточняется по каталогу (см. табл. ПЗЗ Приложения). Выбранная шпонка проверяется на прочность.
Призматическая шпонка работает на смятие и срез. Стандартные шпонки на срез не рассчитывают, поскольку условие прочности на срез учтено при конструировании.
Условие прочности на смятие

где Т — вращающий момент; Асм — площадь смятия; h — высота шпонки; l р — расчетная длина; для шпонок с плоскими концами l р = l, для шпонок с закругленными концами lp = I - b; b — ширина шпонки; l, — глубина паза на валу.
Допускаемое напряжение смятия при стальной ступице [асм] = 130...200 МПа.
Соединение сегментными шпонками проверяют на смятие и срез, так как шпонка узкая.
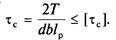
Условие прочности на срез

Допускаемое напряжение среза [тс] = 70... 100 МПа.
Если условие прочности на смятие не выполняется, на вал устанавливают две шпонки.






