Критерием работоспособности соединений является сопротивление смятию боковых поверхностей.
Расчет производится по наибольшему длительно действующему моменту. Основными геометрическими параметрами прямобочных соединений являются число шлицов, внутренний и наружный диаметры.
В зависимости от числа шлицов и их высоты стандарт предусматривает три серии соединений: легкую, среднюю и тяжелую (табл. П35 Приложения).
Легкая серия рекомендуется для неподвижных соединений, средняя — для подвижных, тяжелая — для передачи больших моментов.
Шлицевые эвольвентные соединения характеризуются числом зубьев, модулем и наружным диаметром. При одинаковом наружном диаметре вала можно выбрать разное число зубьев при соответствующем модуле (табл. П36 Приложения).
По внутреннему (расчетному) диаметру вала подбирают шлицевое соединение и проверяют на прочность по напряжениям смятия на боковой поверхности зуба (см. табл. П35, П36 Приложения).
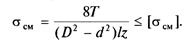
Расчет прямобочных шлицевых соединений выполняют по формуле
|
|
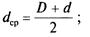
|

где dcp — средний диаметр шлицов,

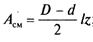
Асм — площадь поверхности смятия,
; l — длина ступицы колеса; z — число шлицов.
Окончательно для прямобочных шлицевых соединений

Расчет эвольвентных шлицевых соединений выполняют по формуле

где d — диаметр делительной окружности, d = mz:;
Асм — площадь поверхности смятия, Аш = 0,8 mlz; т — модуль зубьев эвольвентных шлицов.
В приведенных формулах предполагалось, что нагрузка распределена по боковой поверхности равномерно.
При расчете шлицевых соединений обычно учитывают неравномерность распределения нагрузки по зубьям коэффициентом K = 0,7...0,8.
Допускаемые напряжения смятия для неподвижных соединений [асм] = 30...70 МПа, для подвижных соединений с закаленными поверхностями [асм] = 5...15 МПа.