Расчеты осадок оснований фундаментов по СНиПу производят методом послойного суммирования и линейно-деформируемого слоя конечной толщины.
1. Определение осадки слоя при сплошной нагрузке (основная задача). При сжатии слоя грунта сплошной равномерно распределенной нагрузкой будет происходить уплотнение без возможности бокового расширения (компрессионное сжатие). Для решения задачи воспользуемся результатами компрессионных испытаний (рис. 5.1).

Рис. 5.1. Схема к определению осадки слоя грунта: а – схема нагрузки слоя грунта; б – компрессионная кривая.
Можно предположить, что при передаче нагрузки осадка произойдет за счет изменения (уменьшения) объема пор, а объем твердых частиц грунта остается без изменения. Выделим в данном слое на высоту h цилиндр площадью поперечного сечения А в приравняем объем минеральных частиц до приложения нагрузки и после компрессионного сжатия:

где е1 и е – коэффициенты пористости грунта соответственно в условиях естественного залегания и после сжатия грунта.
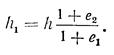
Сократив обе части уравнения на А и решив его относительно h1, получим

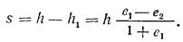
Осадка грунта равна разности его высот до и после уплотнения нагрузкой

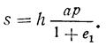
Учитывая, что значение е1–е2 по закону уплотнения может быть заменено значением αр,

Но α/ (1+е1) =
α0 – коэффициент относительной сжимаемости грунта. Тогда осадка слоя при сплошной нагрузке







