Результативность деятельности предприятия можно охарактеризовать следующими показателями:
- экономический эффект;
- показатели рентабельности;
- период окупаемости капитала;
- точка безубыточности ведения хозяйства.
Экономический эффект — это абсолютный показатель (прибыль, доход от реализации и т.п.), характеризующий результат деятельности предприятия:
Пр = Впр - Зпр,
где Пр — прибыль от реализации продукции;
Впр — выручка от продажи продукции;
Зпр — издержки на производство и сбыт продукции.
Недостаток этого показателя заключается в том, что по этому показателю нельзя сделать вывод об уровне доходности предприятия.
Экономическая эффективность — это относительный показатель, соизмеряющий полученный эффект с затратами, обусловившими этот эффект, или с ресурсами, использованными для достижения этого эффекта:
.
Степень доходности предприятия можно оценить с помощью показателей рентабельности. Можно выделить следующие основные показатели:
а) рентабельность продукции (отдельных видов) (Rп) рассчитывается как отношение прибыли от реализации (Пр) к затратам на ее производство и реализацию (Зпр):
;
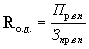
б) рентабельность основной деятельности (Rод) рассчитывается как отношение прибыли от реализации продукции к затратам на производство реализованной продукции:
,
где Пр.в.п — прибыль от реализации всей продукции;
Зпр.в.п — затраты на производство выпускаемой продукции;
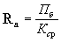
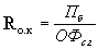
в) рентабельность активов (Rа) рассчитывается как отношение балансовой прибыли к итогу среднего баланса (Кср). Этот показатель характеризует, насколько эффективно используются основные и оборотные средства предприятия. Этот показатель представляет интерес для кредитных и финансовых учреждений; деловых партнеров и т.д.:
;
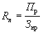
г) рентабельность основного капитала (Rок) — отношение балансовой прибыли (Пб) к средней стоимости основного капитала (ОФс.г):
;
д) рентабельность собственного капитала (Rск) — это отношение чистой прибыли (Пч) к средней стоимости собственного капитала (Ксс):
.
Этот показатель характеризует, какую прибыль дает каждый рубль, инвестированный собственником капитала;
е) период окупаемости капитала (Т) — это отношение капитала (К) к чистой прибыли (Пч).

Показывает, через сколько лет окупятся вложенные в данное предприятие средства при неизменных условиях производственно-финансовой деятельности.
Точка безубыточного ведения хозяйства
Концепция "безубыточного ведения хозяйства" может быть выражена в простом вопросе: сколько единиц (Q) продукции необходимо продать в целях возмещения произведенных при этом условно-постоянных затрат (У.Пос).
Соответственно цены на продукцию (Ц) устанавливаются таким образом, чтобы возместить все условно-переменные затраты (У.Пер) и получить надбавку, достаточную для покрытия условно-постоянных затрат и получения прибыли (Пр).
Как только будет продано количество единиц продукции (Qкр), достаточное для того, чтобы возместить условно-постоянные и условно-переменные затраты (полную себестоимость), каждая проданная сверх этого единица продукции будет приносить прибыль.
При этом величина прироста этой прибыли зависит от соотношения условно-постоянных и условно-переменных затрат в структуре полной себестоимости.
Таким образом, как только объем проданных единиц продукции достигнет минимального значения, достаточного для покрытия полной себестоимости, предприятие получает прибыль, которая начинает расти быстрее, чем рост объема. Такой же эффект имеет место в случае сокращения объемов хозяйственной деятельности, то есть темпы снижения прибыли и увеличения убытков опережают темпы уменьшения объемов продаж.
Определение точки безубыточного ведения хозяйства представлено на рис. 4.10.

Рис. 4.10. Определение точки безубыточного ведения хозяйства






