Континентальные отложения:

– элювиальные (форма зерен угловатая) – продукты выветривания горных пород, оставшиеся на месте образования;
– делювиальные (перемещенные атмосферными водами и силами тяжести, напластования неоднородны);
– аллювиальные (перенесенные водными потоками на значительные расстояния – окатанные частицы);
– ледниковые (образовавшиеся в результате действия ледников, неоднородные грунты);
– эоловые (продукты выветривания, пески дюн, барханов, характерно наличие пылеватых и илистых фракций).
Морские отложения: илы, заторфованные грунты, пески, галечники – низкая несущая способность.
Тема – Происхождение, состав грунтов и свойства их составных частей
происхождение грунтов
Грунтами строители называют верхние слои коры выветривания литосферы и относят к ним скальные, полускальные и рыхлые горные породы.
В большинстве случаев верхние слои земной коры сложены крупнообломочными, песчаными, пылевато-глинистыми, органогенными и техногенными грунтами. Ниже поверхности земли это дисперсные грунты имеют почти повсеместное распространение. Поэтому в дальнейшем будем называть их грунтами и особо отмечать скальные и полускальные грунты.
|
|
|
Большая часть дисперсных грунтов образовалась в результате накопления продуктов физического и химического выветривания. Некоторые грунты возникли вследствие отложения органических веществ (торф и др.), а также в результате искусственной отсыпки или намыва различных материалов (техногенные отложения). В процессе физического выветривания образовались крупнообломочные и песчаные грунты. Результатом химического и частично биологического выветривания являются минералы, составляющие мелкодисперсную часть пылевато-глинистых грунтов.
В зависимости от условий образования различают грунты континентальные и морские. К континентальным относят элювиальные, делювиальные, пролювиальные, аллювиальные, дельтовые, латунные, эоловые и все виды ледниковых отложений. К морским – все накопления из материала, приносимого в море поверхностными водными потоками и образующегося при переработке морских берегов волновым прибоем.
Из-за различий в условиях образования и последующих процессов диагенеза свойства грунтов весьма разнообразны. В ряде случаев наблюдается разнообразие свойств у грунтов одного и того же происхождения. В связи с этим грунты являются телами неоднородными как по глубине, так в по простиранию слоя.
составные части грунтов
В большинстве случаев грунты состоят из трех компонентов: твердых частиц (твердых тел), воды (жидкого тела) и воздуха или иного газа (газообразного тела), т. е. составные части грунта находятся в трех состояниях: твердом, жидком и газообразном. Соотношение этих компонентов обусловливает многие свойства грунтов.
|
|
|

Если грунт состоит из твердых частиц, все поры между которыми заполнены водой, то он является двухкомпонентной (двухфазной) системой. Иногда такой грунт называют грунтовой массой. В большинстве же случаев в грунте, кроме твердых частиц и воды, имеется воздух или иной газ, либо растворенный в поровой воде или находящийся в виде пузырьков, окруженных поровой водой, либо свободно сообщающийся с атмосферой. Такой грунт является трехкомпонентной (трехфазной) системой.
В мерзлом грунте, кроме того, содержится лед (пластичное тело). Он придает грунту специфические свойства, которые приходится учитывать, особенно при строительстве в районах распространения вечномерзлых грунтов. Мерзлый грунт является четырехкомпонентной (четырехфазной) системой.
В некоторых грунтах присутствуют органические вещества в виде растительных остатков или гумуса. Наличие даже сравнительно небольшого количества таких веществ в грунте (свыше 3 % в песках и 5% в пылевато-глинистых грунтах) существенно отражается на его свойствах.
краткая классификация твердых частиц грунта
Поскольку свойства грунтов в значительной степени предопределяются размерами и минералогическим составом слагающих их твердых частиц, последние принято классифицировать по размерам, мм:
галечные (щебень) >20
гравелистые (дресва) 20…2
песчаные 2...0,05
пылеватые 0,05... 0,005
глинистые < 0005
Примечание. В скобках указаны наименования частиц остроугольной формы.
В некоторой степени учитывается и содержание глинистых минералов, так как в большинстве случаев размер частиц из таких минералов менее 0,005 мм. Частицы крупнее 0,05 мм обычно имеют остроугольную или округлую форму, а более мелкие глинистые – пластинчатую, иногда игольчатую. Песчаные частицы подразделяются, в свою очередь, на крупные, средние и мелкие, а пылеватые — на крупные и мелкие.
Крупные частицы грунта разделяют просеиванием через сита. Частицы мельче 0,1 мм определяют по скорости падения идеализированных шарообразных частиц в воде.
Разделение частиц грунтов по категориям обусловливается тем, что грунты, состоящие из частиц одной категории, обладают специфическими свойствами.
Грунт, состоящий только из галечных частиц (щебня), весьма водопроницаем, имеет жесткий скелет и высокую несущую способность. Грунт только из гравелистых частиц также обладает большой водопроницаемостью, сравнительно жестким скелетом и достаточно высокой несущей способностью. В некоторых случаях при динамических воздействиях он может уплотняться. Оба эти грунта не обладают связностью (сыпучи); капиллярное поднятие в них отсутствует.
Песчаные частицы слагают различные по крупности пески, которые обладают водопроницаемостью, не пластичны, имеют сравнительно жесткий, мало сжимаемый при действии статической нагрузки скелет. По гранулометрическому составу различают песок:
гравелистый (частиц крупнее 2 мм более 25 % по массе);
крупный (частиц крупнее 0,5 мм более 50%);
средней крупности (частиц крупнее 0,25 мм более 50%);
мелкий (частиц крупнее 0,1 мм 75 % и более);
пылеватый (частиц крупнее 0,1 мм менее 75 %).
В зависимости от плотности сложения пески способны существенно уплотняться при динамических воздействиях. Они характеризуются небольшой высотой капиллярного поднятия (до 0,5 м) и в сухом состоянии являются сыпучими телами.
Грунт, состоящий только из глинистых частиц, практически водонепроницаем, во влажном состоянии характеризуется высокой пластичностью, может обладать большой сжимаемостью при действии статической нагрузки, при динамических воздействиях не уплотняется, но может снижать прочность. После прекращения динамических воздействий прочность грунта постепенно частично или полностью восстанавливается, т. е. он обладает специфическими тиксотропными свойствами. Такой грунт при изменении содержания в нем воды меняет объем, набухает при увлажнении и получает усадку при высыхании. Все эти свойства, характерные для глины, особенно ярко проявляются, когда она содержит некоторое количество весьма мелких коллоидных частиц и состоит из минерала монтмориллонита.
|
|
|
Пылеватые частицы составляют пылеватый грунт, который имеет все недостатки песка и глины. Пылеватый грунт слабо водопроницаем, плохо отдает воду и обладает свойствами плывунности – перемещается вместе с водой даже при малой скорости ее движения. Капиллярное поднятие в нем развивается быстро и достигает обычно 2...3,5 м.
В природных условиях образования в состав одного грунта обычно входят частицы различных категорий.
Классификация грунтов (простейшая)

виды воды в грунте и их свойства
Вода в пылевато-глинистых грунтах в значительной степени предопределяет свойства грунта, которые зависят в первую очередь от ее относительного содержания. Это объясняется взаимодействием молекул воды вследствие наличия электромолекулярных сил с поверхностями коллоидных и глинистых частиц грунта. Твердые частицы грунта, состоящие из тех или иных обычно кристаллических минералов, имеют на поверхности заряд статического электричества, чаще всего отрицательный. Молекулы же воды, являясь диполями, и ноны различных веществ противоположного заряда, растворенных в грунтовой воде, попадая в поле заряда частицы грунта, ориентируются определенным образом и притягиваются к поверхности этой частицы. В результате поверхность твердой частицы покрывается монослоем молекул воды. Этот первый слой молекул воды, адсорбированных на поверхности твердой частицы с ее наружной стороны, будет иметь заряд, аналогичный заряду поверхности твердой частицы, и, следовательно, станет воздействовать на близко расположенные другие молекулы воды. Таким образом, возникают достаточно стройные цепочки молекул воды (рис. 1.2).
|
|
|
Электромолекулярные удельные силы взаимодействия между поверхностью твердой частицы и молекулами воды у самой поверхности достигают 1000 МПа. По мере удаления от нее удельные силы взаимодействия быстро убывают и на некотором расстоянии уменьшаются до нуля. Вне пределов, ограниченных этим расстоянием, вода обладает свойствами, присущими ей в открытых сосудах, и ее молекулы не притягиваются к поверхности твердой частицы. Эту воду принято называть свободной (она свободна от сил взаимодействия с твердыми частицами). Свободной является гравитационная вода, перемещающаяся под действием силы тяжести, и капиллярная.

Рис. 2. Схема расположения молекул воды около отрицательно заряженной поверхности частицы грунта (а) и график сил взаимодействия между поверхностью частицы грунта и молекулами воды (б):
1 – прочносвязанная вода; 2 – рыхлосвязанная вода; 3 – свободная вода.
Вода, адсорбированная на поверхности твердых частиц, называется связанной (она связана с твердыми частицами). Эта вода создает гидратные пленки вокруг твердых частиц и ее часто называют пленочной. Поскольку в пределах слоя адсорбированной воды удельные силы взаимодействия изменяются от очень больших величин до нуля, такой слой принято условно делить на слои прочносвязанной и рыхлосвязанной воды.
Прочносвязанная вода, слой которой состоит из одного или нескольких слоев молекул, обладает свойствами, существенно отличающимися от свойств свободной воды. По свойствам прочносвязанная вода скорее соответствует твердому, а не жидкому телу. Она не отделяется от твердых частиц при воздействии сил, в тысячи раз превышающих силы земного притяжения, замерзает при температуре значительно ниже 0 °С, имеет большую, чем свободная вода, плотность, обладает ползучестью; такую воду можно отделять от твердых частиц лишь выпариванием при температуре выше 100 °С.
Рыхлосвязанная вода представляет собой диффузный переходный слой от прочносвязанной воды к свободной. Она обладает свойствами прочносвязанной воды, однако они выражены слабее. Это обусловлено резким уменьшением в слое рыхлосвязанной воды удельных сил взаимодействия между поверхностью твердой частицы и молекулами воды (см. рис. 1.2,б).
Так как в пределах слоя связанной воды удельные силы взаимодействия резко меняются, свойства пылевато-глинистых грунтов в значительной степени будут зависеть от толщины пленок рыхлосвязанной воды. При этом, чем больше дисперсность грунта, тем в большей степени будет проявляться эта зависимость, поскольку при большей дисперсности грунта, содержащего глинистые и особенно коллоидные частицы, удельная площадь их поверхности, т. е. суммарная площадь поверхности частиц глин и суглинков, больше, чем у песков, в тысячи раз. Кроме того, она зависит от минералогического состава глинистых частиц. Таким образом, минеральный состав и удельная площадь поверхности частиц пылевато-глинистых грунтов обусловливают их специфические свойства.
Наличие между частицами пылевато-глинистого грунта связанной (пленочной) воды определяет его пластичность. При этом, чем толще пленки воды, тем меньше прочность грунта, и наоборот. Изменение толщины пленок воды, окружающих частицы пылевато-глинистого грунта, приводит к изменению его состояния от почти жидкого до твердого. При малой толщине пленок воды пылевато-глинистые грунты обладают сцеплением. Поскольку сцепление в значительной степени обусловлено наличием связанной воды, такие грунты обладают присущей этой воде ползучестью.
Увлажнение пылевато-глинистого грунта приводит к увеличению толщины пленок воды между частицами и сопровождается увеличением объема грунта, т. е. грунт набухает. Наоборот, при высыхании пылевато-глинистые грунты уменьшаются в объеме вследствие утончения пленок воды (грунт получает усадку). Когда связность грунта обусловлена наличием пленочной воды или растворимых солей, увлажнение грунта может приводить к полному его размоканию.
Если пылевато-глинистый грунт содержит небольшое количество рыхлосвязанной воды и при этом все его поры заполнены водой, фильтрация ее практически невозможна. В связи с этим строители используют перемятую глину в качестве гидроизоляционного материала.
Связность (прочность) грунта, зависящая от толщины слоя рыхлосвязанной воды, может резко снижаться при нарушении определенного расположения молекул воды и частиц (например, при динамических воздействиях или перемятии). Со временем возможно восстановление прочности (явление тиксотропии).
Итак, пылевато-глинистые грунты, особенно содержащие коллоидные частицы, обладают свойствами пластичности, связности, ползучести, набухаемости при увлажнении, усадки при высыхании, размокаемости, водонепроницаемости, тиксотропности и т. д.
влияние газа, содержащегося в порах грунтов, на их свойства
Газ в грунтах может находиться в виде пузырьков, окруженных поровой водой, в растворенном (в поровой воде) или в свободном виде (воздух, сообщающийся с атмосферой). Пузырьки газа, содержащиеся в относительно крупных порах грунтов, а также растворенный в поровой воде газ придают грунтам свойство упругости, сказывающееся на их сжимаемости и деформируемости во времени. Газ, сообщающийся с атмосферой, не влияет на распределение давления между твердыми частицами и поровой водой.
структура, текстура грунта
Следует различать структуру грунта, т. е. взаимное расположение частиц грунта и характер связи между ними, и текстуру грунта, т. е. сложение грунта в массиве.

В дисперсных пылевато-глинистых грунтах, являющихся сложением минерально-дисперсных образований, прочностные свойства зависят не столько от прочности отдельных минеральных зерен, сколько от структурных особенностей грунта. Они обусловливаются структурными связями между минеральными частицами и их агрегатами, а также силами молекулярного взаимодействия между поровой водой и твердыми частицами.
Основными видами структурных связей в грунтах являются водно-коллоидные (коагуляционные и конденсационные) – вязкопластичные, мягкие, обратимые и кристаллизационные – хрупкие (жесткие), необратимые; последние могут быть водостойкими и неводостойкими (размягчаемыми и растворимыми).
Водно-коллоидные связи обусловливаются электромолекулярными силами взаимодействия между пленочной водой и твердыми частицами, включая коллоидные частицы. Чем тоньше пленки воды (меньше влажность), тем эти силы больше, и наоборот. Обратимость водно-коллоидных связей заключается в том, что при увлажнении они ослабляются, а при повторном подсушивании опять возрастают. Ослабление водно-коллоидных связей в некоторых случаях наблюдается и при перемятии (нарушении природной структуры). Однако после прекращения перемятия (оставления в покое) такого тиксотропного грунта водно-коллоидные связи в нем постепенно восстанавливаются.
Кристаллизационные связи, образовавшиеся в результате отложения поликристаллических соединений в точках контактов минеральных частиц грунта, обладают достаточно высокой прочностью. Их прочность зависит от состава минералов цементирующего вещества. Связи, образуемые гипсом и кальцитом, существенно снижают свою прочность при увлажнении; связи же, например, из оксидов железа, кремния – водостойки. Кристаллизационные связи хрупкие и не восстанавливаются после их нарушения.
Текстурой грунтов называется их сложение, т. е. пространственное размещение и взаимное расположение частиц грунтов и их агрегатов, зависящее от условий накопления осадка. Например, в озерах ледникового периода образовывались пылевато-глинистые отложения с характерной слоистой тексту- рой. Они представляют собой чередующиеся тонкие слои из глинистых частиц, выпадавших в зимний период подо льдом, и из пылеватых песчаных частиц, оседавших в теплый период года. Различают слоистую, слитную и сложную текстуру:
- слоистая – наиболее распространенный вид сложения грунтов, характерный для морских, озерных и других отложений;
- слитная присуща морским отложениям, имеющим однородное сложение в различных точках массива;
- сложная – порфировая, ячеистая, макропористая и др. (порфировой текстурой обладают моренные суглинки; ячеистая текстура характерна для вечномерзлых грунтов, имеющих вертикальные и горизонтальные полости, заполненные льдом, макропористую текстуру имеют лессовые грунты).
Характеристики физического состояния грунтов
плотность грунта, плотность его твердых частиц и влажность грунта
Поскольку при нарушении структурных связей грунта его свойства изменяются, необходимо изучать состояние грунта при ненарушенной структуре. Для этого в процессе инженерно-геологических изысканий из шурфов и скважин отбирают монолиты – большие образцы грунта ненарушенной структуры. Из этих монолитов в лабораторных условиях берут меньшие образцы и экспериментально определяют три основные характеристики:
плотность (объемную массу) грунта ρ естественной (ненарушенной) структуры, равную отношению массы образца грунта к его объему;
плотность (объемную массу) твердых частиц грунта ρS, равную отношению массы твердых частиц к их объему;
природную весовую влажность грунта ω, равную отношению массы содержащейся в нем воды к массе твердых частиц.
Рис. 1.3. Схема составных частей (компонентов) образца грунта
Выделим из грунта образец объемом V = 1 см3 и мысленно разделим его на две части: одну, занятую твердыми частицами, объемом V1 и другую, занятую порами, расположенными между этими частицами, объемом V2 (рис.3). Пространство, занятое порами, можно разделить в общем случае также на две части, одна из которых занята водой, другая – воздухом. Пусть масса твердых частиц в объеме V будет g1, а масса воды – g2 (масса воздуха не оказывает влияния на результаты расчетов).

Плотность грунта определяют взвешиванием чаще всего по образцу, взятому в режущее кольцо, иногда парафинированием или другими методами. Плотность твердых частиц находят с помощью пикнометра. Влажность грунта устанавливают взвешиванием образца естественной влажности до и после высушивания (до постоянной массы) при температуре 105 °С.
вычисляемые характеристики грунтов
Зная величины ρ, ρS и ω, можно вычислить ряд характеристик грунта. Введем понятие плотности (объемной массы) скелета грунта ρс (в СНиП 2.02.01-83 называется плотностью в сухом состоянии), равной отношению массы твердых частиц грунта к объему образца ненарушенной структуры до высушивания. 

Зная плотность грунта (обычно выражаемую в т/м3), легко найти удельный вес грунта (в кН/м3) по формуле:

где g – ускорение свободного падения, равное 9,81 м/с2 (часто принимают 10 м/с2).
По аналогии удельный вес скелета грунта γ, и твердых частиц грунта γd найдем из выражений:

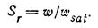
Состояние грунтов по водонасыщенности (коэффициент водонасыщенности Sr)
устанавливается в зависимости от коэффициента водонасыщенности Sr, (в СНиПе – степень влажности), который равен отношению естественной влажности грунта к влажности, соответствующей полному заполнению пор водой (без пузырьков воздуха), т. е. к полной влагоемкости ωsat:

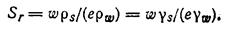
Согласно определению,

где ρw – плотность (объемная масса) воды.
Подставив значение ωsat в выражение
, найдем

Коэффициент водонасыщенности в ряде случаев характеризует качество грунтов. По водонасыщенности (степени влажности) различают грунты:

Грунты называют насыщенными водой при Sr >0,8, потому что они не содержат воздуха, сообщающегося с атмосферой. Пылевато-глинистые грунты (не лессовые) ниже зоны аэрация чаще всего имеют Sr >0,8. В связи с этим состояние по водонасыщенности используют как характеристику преимущественно для песчаных, крупнообломочных и лессовых грунтов.
При полной водонасыщенности грунтов (Sr =1) из выражения
устанавливается зависимость между влажностью и коэффициентом пористости е:

В формулах плотность воды ρw обычно принимают равной 1 г/см3 (или 1 т/м3). Строго говоря, это не соответствует действительности, так как плотность прочносвязанной воды, как сказано ранее, существенно больше единицы.

Выталкивающая сила (по закону Архимеда):
