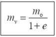
При изысканиях отбирают пробы грунта, строят график к. к. и определяют mo – это делают обычно инженеры-геологи, а строители оценивают свойства грунта по показателям, полученным от геологов.
Выводы
2. Основной расчет оснований по II предельному состоянию – по деформациям. В формулу расчета осадки входит величина коэффициента относительного сжатия грунта.

– прямо пропорциональная связь.
Таким образом, m0 является той характеристикой, которая, как правило, решает выбор основания: можно строить или нельзя (тогда возникает необходимость перехода на искусственное основание).
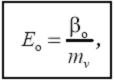
В России существует еще одна характеристика сжатия грунта: Е0 – модуль общей деформации грунта.

(Эти деформации не разделяются, так как в большинстве случаев для здания это не имеет никакого значения.)
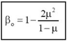
, где 
μ – коэффициент Пуассона (бокового расширения грунта).







