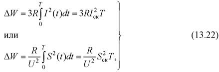
В данном методе используется искусственный прием, заключающийся в замене реальной нагрузки участка сети, изменяющейся во времени в течение периода Т, некоторой среднеквадратичной нагрузкой, неизменной за период Т и дающей те же самые потери электроэнергии. В качестве нагрузки может использоваться ток или полная мощность. С учетом формулы (13.8) можно записать:
|
где Iск, Sск – среднеквадратичные ток и мощность.
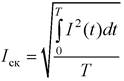
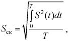
Из формул (13.22) следует:
|
или
|
т. е. среднеквадратичные параметры режимов Iск и Sск зависят от характера графиков нагрузки I(t) и S(t).
Конечно, если известны графики нагрузки участка сети, то лучше использовать непосредственно метод расчета характерных режимов. Однако если однажды заблаговременно провести исследования и установить связь между среднеквадратичными параметрами режима и параметрами графиков нагрузки, то в дальнейшем многочисленные расчеты потерь электроэнергии существенно упрощаются. Так, установлена эмпирическая зависимость вида
|
где Iнб – наибольше значение тока из графика нагрузки, являющееся характерной величиной и используемое для других целей (выбора площади сечения проводов, проверки их по допустимому току нагрева и др.).
|
|
|
Известна также зависимость среднеквадратичного тока от среднего тока и коэффициента формы графика нагрузки:
|
где значение Icр за время Т равно
|
Таким образом, по методу среднеквадратичных параметров нагрузочные потери электроэнергии находятся по формулам
|
или
|
На практике метод среднеквадратичных параметров может быть использован при определении нагрузочных потерь электроэнергии в разомкнутых распределительных сетях напряжением 6–35 кВ. Что касается замкнутых сетей напряжением 110 кВ и выше, то его вряд ли можно рекомендовать, т.к. в них нет тесной корреляционной связи между Тнб, kф и параметрами графиков нагрузки в узлах электрической сети.






