Нагрузочные потери электроэнергии за рассматриваемый период времени Т находят по формуле
|
где ΔРср – потери активной мощности при средних нагрузках сети.
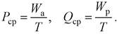
В условиях эксплуатации средние нагрузки находятся на основании измерений активного Wа и реактивного Wр электропотребления:
|
Приближенно, а также при перспективных расчетах, когда измерить Wа и Wр невозможно, они могут быть определены по формулам
|
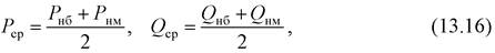
где Рнб, Qнб – мощности в режиме наибольших нагрузок; Рнм, Qнм - мощности в режиме наименьших нагрузок за период времени Т.
Таким образом, для определения потерь энергии необходимо составить схему сети со средними нагрузками, найти потокораспределение, а по нему – средние потери мощности.
Формула (13.15), однако, позволяет оценить базовую составляющую потерь электроэнергии. Вместе с тем характер графиков нагрузки отдельных узлов может быть различным, что будет отражаться на потоках мощности по ветвям схемы в различных режимах и соответственно на потерях электроэнергии. Для учета этого обстоятельства в формулу потерь энергии вводят коэффициент формы графика нагрузки:
|
|
|
|
Этот коэффициент связывают со временем использования наибольшей нагрузки Тнб
|
Для участков разомкнутой сети Тнб для активной или полной мощности может быть определено как средневзвешенное на основании известного времени наибольшей нагрузки каждого из n узлов Тi нб, который питается по данному участку сети:
|
где Рi – нагрузка i -го узла.
В замкнутой сети Тср.вз приходится определять весьма грубо по Рi и Тi нб всех узлов. Другим способом в замкнутой сети коэффициент формы для каждого участка сети может быть найден по выражению:
|
где kмин представляет собой отношение наименьшей нагрузки к наибольшей на данном участке сети:
|
По данным для реальных графиков нагрузки сетей 10–110 кВ коэффициент формы kф находится в диапазоне 1,05–1,15.
Данный метод может быть использован для оценки потерь электроэнергии в замкнутых сетях напряжением 110 кВ и выше. Однако его применение ограничено в случаях оценки изменения потерь при рассмотрении различных путей по их снижению.






