Технико-экономической эффективности

Критерий сравнительной

Если рассматривается эффективность сооружения объекта электрической сети с заранее заданными техническими параметрами, например, такими, как номинальное напряжение и площадь сечения проводов линии электропередачи, к которой подключается новый потребитель, то в качестве экономического критерия может использоваться чистый дисконтированный доход, определяемый по выражению (15.16). В этом случае эффект от сооружения линии проявляется за счет продажи системой дополнительного количества электроэнергии. Как уже отмечалось, целесообразность сооружения такого объекта будет при ЧДД > 0.

Однако в большинстве случаев технико-экономического анализа решение конкретной задачи развития электрической сети может быть осуществлено с помощью различных вариантов. В таких случаях по выражению (15.16) ЧДД подсчитывается по каждому намеченному варианту, и лучшим вариантом считается тот, для которого чистый дисконтированный доход наибольший:


где i – номер варианта; Иti – издержки в год t с учетом амортизационных отчислений; Т – расчетный срок, не ограниченный сроком службы объекта, в пределе Т = ∞.

Таким образом, в данном случае решается задача сравнительной эффективности.

Если в качестве расчетного срока Т принимать период от начала капиталовложений до завершения срока службы объекта, то в формуле (15.19) следует учесть ликвидную стоимость Кл:


В формулу (15.20) ежегодные издержки Иti в год t подставляют без учета амортизационных отчислений, т.е. вычисленные по формуле (15.14).

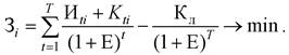
Заметим, что выражения ЧДД (15.19) и (15.20) позволяют осуществлять сравнение вариантов с различным производственным эффектом. Вместе с тем во многих задачах систем передачи и распределения электроэнергии рассматриваются только технически взаимозаменяемые (допустимые) варианты с одинаковым производственным эффектом, которые, например, удовлетворяют требованиям одинаковой пропускной способности (передаваемой мощности), одинаковой надежности и т.п. В таких случаях доход Дti оказывается одинаковым, и поэтому от критерия ЧДД по формулам (15.19) и (15.20) можно перейти к затратным критериям соответственно:


или


Здесь критерий максимума ЧДД заменен критерием минимума затрат.

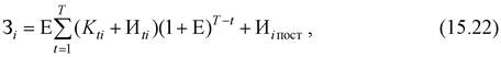
Для весьма распространенных случаев, когда после года Т капитальные вложения уже не производятся, а ежегодные издержки остаются неизменными, из формулы (15.21) получен экономический критерий сравнительной эффективности в виде


где Ипост – неизменные ежегодные издержки в режиме проектной эксплуатации объекта после Т-го года.

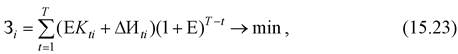
На основе выражения (15.21) получен также экономический критерий в виде


где ΔИti – изменение годовых эксплуатационных расходов в t-м году по сравнению с (t – 1)-м годом.

Критерий (15.23) так же, как и критерий (15.22), предполагает, что через Т лет объект выходит на проектную мощность, после чего годовые эксплуатационные расходы остаются неизменными.

Многие объекты строятся в течение одного года. К таким объектам относятся короткие воздушные линии, подстанции небольшой мощности, распределительные воздушные и кабельные сети, компенсирующие устройства и т.п. При этом после ввода их в эксплуатацию, т. е. со второго года после начала строительства, ежегодные издержки не остаются постоянными, т. к. изменяется стоимость потерь электроэнергии. Применительно к таким, весьма распространенным условиям, формула приведенных затрат (15.21) может быть преобразована к виду


где Кiкапитальные затраты в первый год для i-го варианта.

И, наконец, в случаях, когда капитальные вложения в строительство объекта осуществляются за один год, после чего объект вводится в эксплуатацию с неизменными по годам ежегодными издержками, то вместо формулы (15.21) используют формулу годовых приведенных затрат, которая представляет собой статический критерий


который приводит к тем же результатам сравнительной эффективности вариантов, что и формула (15.21).

Этот критерий наиболее строго может быть применен, например, при строительстве линии электропередачи для электроснабжения предприятия, технологический режим которого не изменяется по годам после ввода его в эксплуатацию. В связи с простотой данного критерия он используется и в других случаях, когда срок строительства не более одного года, а издержки по годам можно считать мало изменяющимися. Удельные приведенные затраты, приходящиеся на единицу передаваемой электроэнергии, называют расчетной стоимостью передачи электроэнергии:


Экономические критерии (15.21) и (15.25) и их разновидности использовались в условиях централизованной экономики. При этом под показателем Е понимался нормативный коэффициент эффективности капитальных затрат, значение которого для энергетики принималось на уровне 0,12. В условиях рыночной экономики приемы сравнительной эффективности используются аналогичные, но экономический смысл показателя Е изменяется. Ставка дисконта Е коррелирует с банковским процентом на предоставление кредита на строительство объекта, который на мировом рынке находится в пределах 5–12%, т. е. Е может приниматься от 0,05 до 0,12.

Если сравнению подлежат только два варианта сооружения объекта, то вместо приведенных затрат (15.25) может быть использован такой критерий, как срок окупаемости. При сравнительной эффективности различных вариантов показатель срока окупаемости по формуле (15.18) представляется в виде


где К1, К2капитальные затраты по варианту 1 и 2, причем К1 > К2; И1, И2 – годовые издержки по вариантам 1 и 2, причем И1 < И2; Тнорм – нормативный срок окупаемости.

Таким образом, здесь сравнивается вариант 1 с большими капитальными затратами, но с меньшими годовыми издержками, чем по варианту 2. Если Ток < Тнорм, то экономичным будет вариант, по которому больше капитальные затраты, т. к. дополнительные капитальные затраты К1 – К2 окупятся достаточно быстро за счет экономии на ежегодных издержках И2 – И1. Из выражения (15.27) можно записать:


или


Сравнивая это выражение с формулой (15.25), можно видеть, что нормативный срок окупаемости есть величина, обратная норме дисконта (нормативному коэффициенту эффективности капитальных затрат):


Так, при Е = 0,12 нормативный срок окупаемости Тнорм = 8,3 года.





Подборка статей по вашей теме: