Электрический диполь и его электрическое поле

Электрический диполь - система из двух равных по величине, но противоположных по знаку точечных электрических зарядов, расположенных на некотором расстоянии друг от друга.

Расстояние между зарядами называется плечом диполя.

Основной характеристикой диполя является векторная величина, называемая электрическим моментом диполя (P).

Электрическое поле диполя

Диполь является источником электрического поля, силовые линии и эквипотенциальные поверхности которого изображены на рис. 13.1.

Рис. 13.1. Диполь и его электрическое поле

Центральная эквипотенциальная поверхность представляет собой плоскость, проходящую перпендикулярно плечу диполя через его середину. Все ее точки имеют нулевой потенциал = 0). Она делит электрическое поле диполя на две половины, точки которых имеют соответственно положительные > 0) и отрицательные < 0) потенциалы.

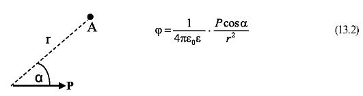
Абсолютная величина потенциала зависит от дипольного момента Р, диэлектрической проницаемости среды ε и от положения данной точки поля относительно диполя. Пусть диполь находится в непроводящей бесконечной среде и некоторая точка А удалена от его центра на расстояние r >> λ (рис. 13.2). Обозначим через α угол между вектором Р и направлением на эту точку. Тогда потенциал, создаваемый диполем в точке А, определяется следующей формулой:

Рис. 13.2. Потенциал электрического поля, созданного диполем





Подборка статей по вашей теме: