На рис. 2.6 показана рассматриваемая часть бруса I (см. рис. 2.3) и напряжения, действующие в произвольной точке поперечного сечения.

На этом рисунке касательное напряжение представлено в проекциях на координатные направления у и z.
Нормальные и касательные напряжения снабжаются индексами.
Нормальному напряжению присваивается один индекс, соответствующий наименованию оси, которая перпендикулярна сечению и одновременно параллельна линии действия σ.
Касательному напряжению присваиваются два индекса. Первый индекс соответствует наименованию оси, перпендикулярной сечению; второй — наименованию оси, параллельной линии действия данного τ.
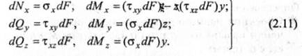
На рис. 2.7 показана рассматриваемая часть твердого тела I иусилия, действующие в пределах площадки dF в окрестности точки А.
Вклад усилий σ xdF, τxy dF и τ xzdF, действующих в пределах площадки dF, в величины внутренних силовых факторов составит

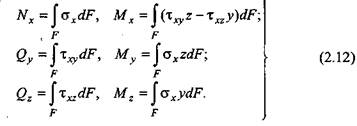
Суммируя эти величины по площади поперечного сечения F, получим окончательно


Замечание 2.4
•♦Внутренние силовые факторы NX...MZ и напряжения σ и τ, по существу, представляют собой одно и то же — количественную оценку взаимодействия двух частей твердого тела в данном сечении. Различие состоит в том, что внутренние силовые факторы — интегральная, суммарная оценка этого взаимодействия, а напряжения — локальная, местная оценка.






