Определение 1
♦ Напряжение — численная мера распределения внутренних усилий в сечении или величина внутреннего усилия, действующего в пределах единичной площадки.
![]() | |||
![]() |

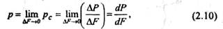
На рис. 2.4 АР— внутреннее усилие, действующее в пределах площадки ΔF.
В соответствии с определением

где рс— среднее полное напряжение, действующее в пределах площадки ΔF. Очевидно, что напряжение имеет размерность силы, деленной на площадь, т.е. размерность давления (Па, кПа, МПа и т.д.).
Опираясь на гипотезу о сплошности материала твердого тела, осуществим предельный переход

где р — истинное полное напряжение, действующее в точке А сечения.
В расчетной практике крайне редко работают с полным напряжением. Обычно полное напряжение представляют в виде геометрической суммы его проекций на два взаимно перпендикулярные направления (рис. 2.5).

На рис. 2.5 n — нормаль к плоскости сечения; В — плоскость, содержащая точку А и векторы р и n.
Определение 2
♦ Проекция полного напряжения на нормаль к плоскости сечения называется нормальным напряжением и обозначается σ (сигма).
Определение 3
♦ Проекция полного напряжения на плоскость сечения напряжения на плоскость сечения называется касательным напряжением и обозначается τ (тау).








