Для присвоения некоторой переменной (например, переменной
) определенного значения, необходимо ввести выражение типа
. Необходимо обратить внимание, что присваивание обозначается не знаком равенства, а специальным символом, чтобы подчеркнуть его отличие от операции численного вывода. Оператор присваивания вводится нажатием клавиши–двоеточия «:» либо при помощи панели Calculator (Калькулятор). Символ равенства «=» говорит о вычислении значения слева направо, а символ «:=» – о присвоении значения справа налево.
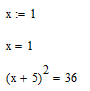
Задание: Найти значение выражения
при
.
Решение:

Результат: В первой строке приведенного примера переменной
присваивается
значение 1, во второй строке вычисляется значение этой переменной.
Для того, чтобы вычислить значение выражения, содержащего некоторую переменную, следует просто ввести его, а затем применить оператор численного вывода (третья строка рассмотренного выше примера). При этом необходимо, чтобы этой переменной ранее в документе было присвоено какое–либо значение.
|
|
|
Символьные вычисления, позволяющие решать многие задачи аналитически, являются одной из самых впечатляющих возможностей MathCAD. Единственная особенность заключается в необходимости применения знака символьных вычислений → вместо знака равенства. Его можно ввести в редакторе MathCAD с любой из панелей Evaluation (Выражения) или Symbolic (Символика).
В отличие от численных, для символьных вычислений задание значений всех переменных необязательно. Если некоторым переменным присвоены значения, то для получения результата используется это численное значение. Если же переменной не было присвоено никакого значения, то она воспринимается аналитически, просто как некоторое имя.
Задание: Получить символьный вывод выражения
при
.
Решение:







