При умножении следует помнить, что матрицу размером
допустимо умножать только на матрицу размером
. В результате получается матрица размером
.
Чтобы ввести символ умножения, нужно нажать клавишу «*» или воспользоваться панелью инструментов Matrix (Матрица), нажав на ней кнопку Dot Product (Умножение). Умножение матриц обозначается по умолчанию точкой.
Задание: Умножить матрицу A на транспонированную матрицу B, если
и
.
Решение:



Результат: если вычисление невозможно, то программа выделяет красным цветом ошибку.
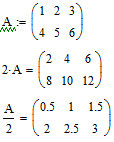
Аналогично сложению матриц со скаляром определяется умножение и деление матрицы на скалярную величину.
Задание: Вычислить
и
, если
.
Решение:







