Эти соотношения получают в предположении, что элементы в РЭУ с точки зрения надежности соединены последовательно (рис.3.1). Кроме того, отказы элементов считаются случайными и независимыми друг от друга.
| Рис.3.1. Последовательное соединениеэлементов в РЭУ (N — количество элементов) |
Тогда с учетом принятых допущений методами теории вероятностей для вероятности безотказной работы устройства за время t3 можно получить следующее выражение:
(3.1)
где Pi(t3) — вероятности безотказной работы элементов, подсчитанные для заданного времени t3, i = 1,..., N.
Из выражения (3.1) видно, что для определения показателя надежности устройства необходимо располагать данными о надежности элементов, входящих в устройство.
В случае экспоненциального закона надежности элементов
(3.2)
где лi — параметр экспоненциального распределения для г-го элемента, численно равный интенсивности его отказов. Подставляя выражения вида (3.2) в соотношение (3.1), получим
(3.3)
Из выражения (3.3) следует, что вероятность безотказной работы устройства может быть определена с использованием значений интенсивностей отказов элементов.
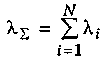
В выражении (3.1) величину

называют суммарной интенсивностью отказов элементов устройства.
Из него видно, что чем больше значение лУ, тем ниже уровень надежности устройства.
Выражение вида (3.1) называют основным расчетным для вероятности безотказной работы устройств. Выражение (3.3) — аналог выражения (3.1) применительно к экспоненциальному закону надежности элементов.
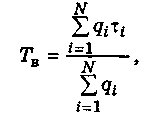
Для среднего времени восстановления радиоэлектронного устройства может быть получено выражение
(3.4)
где qi — вероятность отказа i-го элемента, подсчитанная для интервала времени t3;
Т; — среднее время восстановления i-го элемента (значения этих величин можно найти в справочниках для различных видов элементов и классов аппаратуры, прил.3).
Если произведение лi • t3 “ 1, что обычно имеет место на практике, то последняя формула может быть представлена в виде
(3.5)
Выражение (3.5) является основным расчетным соотношением для определения среднего времени восстановления РЭУ.






