Справочные значения интенсивностей отказов элементов соответствуют коэффициентам нагрузки Кн = 1 и нормальным (лабораторным) условиям эксплуатации. На практике с целью повышения надежности РЭУ коэффициенты нагрузки элементов выбирают меньше единицы, а условия эксплуатации элементов оказываются более жесткими, нежели нормальные. Поэтому возникает задача пересчета справочных значений интенсивностей отказов на конкретный электрический режим и условия эксплуатации.
В общем случае для пересчета пользуются выражением

где л(х) — значение интенсивности отказов с учетом
электрического режима и условий эксплуатации символ х подчеркивает это);
л0 — справочное значение интенсивности отказов;
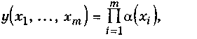
y(x1,..., хт) — пересчетная функция;
x1,..., хт —факторы, принимаемые во внимание (коэффициент нагрузки, параметры окружающей
среды и т.д.);
т — количество факторов.
В настоящее время для пересчетной функции наиболее часто используют выражение (модель) вида
(2.4)
где б(xi) — поправочный коэффициент, учитывающий влияние фактора xi.
В качестве факторов xi могут рассматриваться коэффициент нагрузки, температура, давление, характер электрического режима, номинальное значение параметра элемента и т.д.
В инженерной практике часто учитывают влияние двух важнейших факторов — коэффициента электрической нагрузки и температуры. Для определения произведения поправочных коэффициентов для этого случая можно пользоваться номограммами (семейством кривых), построенными для различных видов элементов по результатам экспериментальных исследование (прил.З). Вид этих номограмм показан на рис.2.2.

Рис.2.2. Номограммы для определения произведения поправочных






