Существующие методы расчета показателей надежности РЭУ различаются степенью точности учета электрического режима и условий эксплуатации элементов.
При ориентировочном расчете этот учет выполняется приближенно, с помощью обобщенных эксплуатационных коэффициентов. Значения этих коэффициентов зависят от вида РЭУ и условий их эксплуатации.
Ориентировочный расчет выполняется на начальных стадиях проектирования РЭУ, когда еще не выбраны типы и эксплуатационные характеристики элементов, не спроектирована конструкция и, естественно, отсутствуют результаты конструкторских расчетов (теплового режима, виброзащищенности и т.п.).
Исходными данными при ориентировочном расчете являются: электрическая схема РЭУ (принципиальная, а для цифровых РЭУ в ряде случаев функциональная), заданное время работы t3, условия эксплуатации или вид РЭУ.
Ориентировочный расчет выполняют для периода нормальной эксплуатации РЭУ, т.е. для периода, когда общая интенсивность отказа устройства примерно постоянна во времени. В этом случае для определения интенсивности отказов РЭУ пользуются значениями интенсивностей отказов элементов. Общая интенсивность отказов РЭУ определяется путем простого суммирования последних.
При ориентировочном расчете пользуются следующими допущениями (предпосылками):
а) отказы элементов случайны и независимы;
б) для элементов РЭУ справедлив экспоненциальный закон
надежности;
в) принимаются во внимание только внезапные отказы, т.е.
вероятность с точки зрения отсутствия постепенных отказов равна единице;
г) учитываются только элементы электрической схемы, а
также монтажные соединения, если вид соединений заранее определен;
д) учет электрического режима и условий эксплуатации
элементов выполняется приближенно.
Последовательность ориентировочного расчета:
1. На основе анализа электрической схемы РЭУ формируются группы однотипных элементов.
Признаком объединения элементов в одну группу является функциональное назначение элемента и, в определенной степени, эксплуатационная электрическая характеристика. Например, маломощные транзисторы объединяют в одну группу, мощные — в другую и т.д.
Монтажные соединения составляют отдельную группу. Если вид монтажа (печатный, объемный) определен заранее, то отдельную группу составляют также несущие конструкции (печатная плата и т.д.). Отдельную группу составляют также точки паек (в дальнейшем — пайки).
2. Для элементов каждой группы по справочникам
(ТУ, каталогам и т.п.) определяют среднегрупповое значение интенсивности отказов. Если группу образуют элементы одного типа, то необходимость усреднять значения интенсивностей отказов отпадает.
3. Подсчитывают значение суммарной интенсивности отказов элементов устройства, используя выражение
(3.6)
где л0j — среднегрупповое значение интенсивности отказов элементов j-й группы, найденное с использованием справочников, j = 1,…,k;
ni — количество элементов в j-й группе, j = 1,…,k;
k — число сформированных групп однотипных элементов.
4. С использованием обобщенного эксплуатационного коэффициента выполняют приближенный учет электрического режима и условий эксплуатации элементов.
Суммарную интенсивность отказов элементов РЭУ с учетом электрического режима и условий эксплуатации определяют как
(3.7)
где КЭ — обобщенный эксплуатационный коэффициент, выбираемый по таблицам в зависимости от вида РЭУ или условий его эксплуатации (табл.3.1).
Таблица 3.1 Значения обобщенного эксплуатационного коэффициента КЭ
| Вид РЭУ, условия эксплуатации | Значение КЭ |
| Лабораторные условия | 1,0 |
| Помещения с регулируемой температурой и влажностью | 1,1 |
| Космос (на орбите) | 1,5 |
| Наземные стационарные условия | 2...4, 7 (2,5) |
| Наземные возимые РЭУ | 4...7 (5,0) |
| Наземные подвижные (переносимые) РЭУ | 7... 15 (7,0) |
| Морские защищенные условия | 7... 12 (7,6) |
| Морские незащищенные условия | 7...15 (10,0) |
| Бортовые самолетные РЭУ | 5...10 (7,0) |
| Запуск ракеты | 10... 44 (20,0) |
В скобках в табл.3.1 указаны значения, рекомендуемые для использования в расчетах.
5. С использованием гипотезы об экспоненциальном законе надежности подсчитывают другие показатели надежности.
Наработка на отказ
(3.8)
Вероятность безотказной работы за заданное время t3
(3.9)
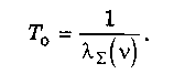
Среднее время безотказной работы устройства (средняя наработка до отказа) 
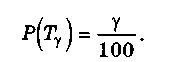
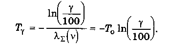
Гамма-процентная наработка до отказа Тг определяется, как решение уравнения

В случае экспоненциального распределения времени до отказа
(3.10)