Методы вероятностного прогнозирования базируются на использовании математического аппарата теории случайных функций.
Определение вероятности безотказной работы. Если для контролируемого параметра
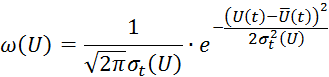
известно функция распределения параметра
то можно определить вероятность попадания значения функций
в любой заданный интервал оси
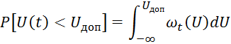
Искомая вероятность выхода параметра
, ниже
то перейдёт в состояние неработоспособное.




Таким образом, в определённом классе задач определение плотности распределения плотности параметра
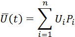
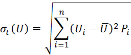
сводиться к прогнозированию изменения двух величин
.






