по видам и месту выполнения для ТО и ТР
В настоящее время ТО и ТР автомобилей на предприятиях автосервиса производится на базе готовых деталей, узлов и механизмов. Поэтому в основном работы (услуги) по ТО и TP выполняются на рабочих постах. Обособленные (отдельные) производственные помещения (с рабочими постами) обычно предусматриваются для выполнения уборочно-моечных работ, кузовных, окрасочных и противокоррозионных работ.
Выполнение таких работ, как электротехнические; ремонт приборов системы питания, снятых с автомобиля; обслуживание аккумуляторных батарей; шиномонтаж; балансировка колес; ремонт камер и т.п., предусматривается как в зоне рабочих постов, оснащенных соответствующим оборудованием и оснасткой, так и в обособленных (отдельных) помещениях с соблюдением необходимых противопожарных и санитарно-гигиенических требований. Выбор того или иного варианта определяется объёмом работ, численностью работающих, компоновочным решением планировки и организацией работ.
В СЦ, особенно больших, могут быть организованы отдельные производственные участки по ремонту агрегатов (двигателей, коробок передач и др.), выполнению обойных работ и т.п. Для разработки таких участков тоже определяется программа и трудоемкость отдельных видов работ или численность производственных рабочих.
Распределение общего годового объема работ по ТО и TP по видам и месту выполнения в зависимости от числа рабочих постов в процентном отношении может быть принято по данным таблицы 3.8.
Таблица 3.8 – Примерное распределение трудоемкости по видам и месту их выполнения, % (по ОНТП-01-91)
| Работы | Распределение объема работ в зависимости от числа рабочих постов | Распределение объема работ по месту их выполнения | |||||
| До5 | 6-10 | 11-15 | 16-25 | Более | На раб. пост | На произ-вод. участках | |
| Диагностические ТО в полном объеме Смазочные Регулировочные по установке углов передних колес Регулировочные по тормозам Обслуживание и ремонт приборов системы питания, электротехнические Шиномонтажные ТР узлов и агрегатов Кузовные Малярные Обойные и арматурные | - - - | - - - - - - | |||||
| ИТОГО: |
Для выбора распределения объема работ проектируемого СЦ предварительно число рабочих постов можно определить из следующего выражения
, (3.11)
где Tвесь ТОиТР – годовой объем работ, чел.-ч;
φ – коэффициент неравномерности загрузки постов принимается (φ = 1,15);
кп – доля постовых работ в общем объеме (0,75…0,85)
Д раб.г – число рабочих дней в году;
Тсм – продолжительность смены, ч;
С – число смен в сутки;
Рп – среднее число рабочих на посту (Рп = 0,9…1,1);
η п – коэффициент использования рабочего времени поста (η п = 0,9);
Число рабочих постов для каждого вида работ определяется по формуле:
, (3.12)
где
– годовой объем определённого вида работ по ТО и ТР, выполняемый проектируемым СЦ, чел.-ч;
φ – коэффициент неравномерности загрузки постов принимается (1,15);
Д раб.г – число рабочих дней в году;
Тсм – продолжительность смены, ч;
С – число смен в сутки;
Рп – численность одновременно работающих на посту (можно принять для постов уборочно-моечных работ, ТО и ТР – 1 чел., для кузовных и окрасочных работ – 1,5 чел, для приемки и выдачи автомобилей – 1 чел.);
η п – коэффициент использования рабочего времени поста (0,90 – при одной смене работы, 0,85 – при двухсменной работе);
Если в СЦ не выполняются какие то виды работ по ТО и ТР, приведенные в таблице 3.13, тогда годовой объем определятся по следующему выражению
, (3.13)
где δ – суммарная доля по всем видам выполняемых регламентных работ по ТО и ТР, %. Она определяется в зависимости от результата предварительного расчета количества постов на проектируемом СЦ.
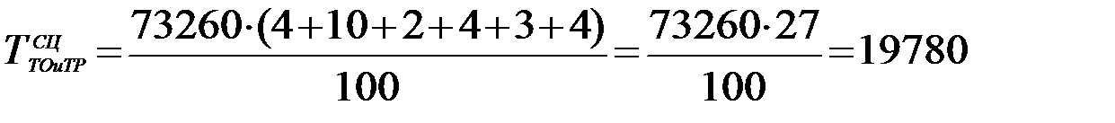
Пример: Исходные данные: суммарный годовой объем работ по ТО и ТР составляет
=73260 чел.-ч.; предварительный расчет числа постов – 21,4 поста.
По таблице 3.8 выбираем столбец «от 16 до 25» постов. Далее в соответствии с выбранным спектром услуг, предоставляемых проектируемым СЦ, определяем долю соответствующих видов регламентных работ: контрольно-диагностические – 4%, ТО в полном объеме – 10%, смазочные – 2%, регулировочные по установке углов передних колес – 4%, регулировочные по тормозам – 3%, электротехнические – 4%. Тогда годовой объем по ТО и ТР в СЦ, определяемый по формуле 6.1, составит
чел.- ч.
Если в сервисном центре выполняется 100% всех видов работ, тогда
= 






