В статистике населения основной единицей наблюдения является человек (его пол, возраст, профессия, занятие, уровень образования).
Сведения о численности и составе населения дают переписи населения, текущий учет, выборочные наблюдения.
Таким образом, численность населения на конец года = численность населения на начало года + число родившихся за год + число прибывших за год - число умерших за год - число выбывших за год.
При изучении численности населения различают две его категории: наличное и постоянное.
Наличное население (НН) - это лица, которые на момент исчисления фактически находятся на данной территории, независимо от места постоянного жительства.
Постоянное население (ПН) составляют лица, которые постоянно проживают на данной территории, независимо от места нахождения на момент исчисления. Временно проживающее население (ВП) - это лица, которые на момент переписи находились на территории данного населенного пункта, а постоянно проживают в другом пункте.
Временно отсутствующее населения (ВО) - это население, которое на момент переписи находилось за пределами места постоянного жительства.
Между этими категориями численности имеется следующее соотношение:
ПН=НН-ВП+ВО и НН=ПН+ВП-ВО.
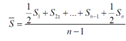
Средняя численность населения может быть рассчитана различными методами:
1) когда имеются данные только на начало и конец периода, среднюю численность определяют по формуле средней арифметической простой:

где Sн, Sк - численность населения на начало и конец периода;
2) при наличии данных на несколько равноотстоящих одна от другой дат расчет может быть произведен по формуле средней хронологической невзвешенной:

где n-число наблюдений;
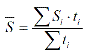
3) если имеются данные за неравные интервалы времени, применяется формула средней арифметической взвешенной:

где Si -численность населения на каждую дату;
ti -число дней, месяцев, лет, в течение которых сохранялась каждая численность.
Различают естественное и механическое движение населения. Естественное движение охватывает рождаемость, смертность, заключение и расторжение браков.
Коэффициент рождаемости вычисляется путём деления числа родившихся за год N на среднегодовую численность населения 

Коэффициент смертности рассчитывается путём деления числа умерших за год M на среднегодовую численность населения 

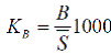
Коэффициент брачности определяется как отношение числа заключённых за год браков к среднегодовой численности населения, а коэффициент разводов – как отношение числа расторгнутых за год браков к среднегодовой численности населения.
Для характеристики соотношения между рождаемостью и смертностью исчисляется показатель жизненности

Чтобы исключить влияние половозрастной структуры, применяют специальный коэффициент рождаемости (коэффициент плодовитости), который рассчитывается как отношение числа родившихся к средней численности женщин в возрасте от 15 до 49 лет 

Между общими и специальными коэффициентами рождаемости существует взаимосвязь:

где 
При изучении смертности определяются коэффициенты детской смертности по формулам

где m1 - число умерших в текущем году детей в возрасте до 1 года;
N1 -число родившихся в текущем году;
N0 -число родившихся в предыдущем году.
Коэффициент естественного прироста можно рассчитать по формуле

или как разность между коэффициентами рождаемости и смертности:
КN −M = KN − KM.
Для характеристики естественного прироста исчисляются:
1. Коэффициент оборота населения

2. Коэффициент экономичности воспроизводства населения:

Под механическим движением (миграцией) населения понимают прибытие в данный населённый пункт и выбытие.
Рассчитывают абсолютное число прибывшего (П) и выбывшего (В) населения.
Рассмотрим следующие относительные показатели:
1) коэффициент прибытия


3) коэффициент миграции (механического прироста)

4) коэффициент интенсивности миграционного оборота

5) коэффициент эффективности миграции

Прибавив к коэффициенту естественного прироста коэффициент миграции, получим коэффициент общего прироста населения

Задачи по вариантам
Вариант 1
Численность населения Московского района города Казани характеризуется следующими данными, тыс. чел.
1. На начало года:
-постоянное население 130,1
-в том числе:
-временно отсутствующее 13
-временно проживающее 15
2. В течение года:
- родилось
у постоянного населения 7,8
у временно проживающего 1,2
- умерло постоянных жителей 5,2
временно проживающих 0,6
- вернулось из числа временно отсутствующих 4
- выбыло постоянного населения на постоянное жительство
в другие населенные пункты 10
прибыло на постоянное жительство 16
Определите:
1. Численность наличного населения на начало и конец года.
2. Численность постоянного населения на конец года.
Вариант 2
Численность населения города характеризуется следующими данными (тыс. чел. на начало месяца):
Январь 320
Февраль 322
Март 323
Апрель 326
Май 340
Июнь 344
Июль 342
Определить среднюю численность населения города за январь, первый квартал, второй квартал, первое полугодие.
Вариант 3
Имеются следующие данные по району, тыс. чел.:
1. Численность населения на начало года 82
в том числе:
женщины в возрасте от 15 до 49 лет 23,5
2. Численность населения на конец года 86
в том числе:
женщины в возрасте от 15 до 49 лет 24,5
3. В течение года:
родилось 1,18
умерло всего 0,49
из них детей до 1 года 0,03
Определите:
1. Коэффициенты рождаемости, смертности, естественного прироста.
2. Специальный коэффициент рождаемости.
3. Коэффициент детской смертности.
4. Коэффициент жизненности.
Вариант 4
Имеются следующие данные по одному из регионов (тыс. чел.):
1. Численность населения на начало года 126
2. В течение года:
- родилось 1,86
- умерло 1,26
- заключено браков 2,52
- зарегистрировано разводов 3,78
- прибыло 0,63
- убыло 0,50
Определить за год:
1. Среднюю численность населения.
2. Коэффициенты рождаемости, смертности, естественного прироста, миграции, общего прироста населения, брачности, разводимости.
3. Коэффициент плодовитости (специальный коэффициент рождаемости), если известно, что среднее число женщин в возрасте от 15 до 49 лет составило 32 тыс. чел.
Вариант 5
Численность постоянного населения региона на начало года составила 820 тыс. чел., за год в регионе родилось у постоянного населения 16,6 тыс. чел., умерло 6,64 тыс. чел.
Определите:
1. Коэффициенты рождаемости, смертности, оборота и экономичности воспроизводства населения.
2. Коэффициент жизненности населения.
3. Коэффициент миграции.
Вариант 6
Численность населения в городе на 01.01.2001 г. составляла 693540 человек. В течение года родилось 9650 человек, а умерло 7520 человек. Сальдо миграции за этот период равнялось нулю.
Определите:
1) численность населения на конец года;
2) среднегодовую численность населения;
3) абсолютный естественный прирост населения за год.
Рассчитайте коэффициенты естественного прироста, общей рождаемости, общей смертности и жизненности населения.
Вариант 7
Средняя численность населения района в 2000 г. составляла 310 тыс. чел. В течение года родилось 3,3 тыс. чел., а умерло 2,8 тыс. чел. Миграционного оборота не было.
Определите: общие коэффициенты рождаемости и смертности, коэффициенты естественного и общего прироста населения.
Вариант 8
На начало года имеются данные по населённому пункту: наличное население-650 тыс. чел.; временно проживающие-6 тыс. чел., временно отсутствующие-4 тыс. чел. В течение года произошли следующие изменения: родилось всего 9 тыс. чел., в том числе у постоянных жителей-8,5 тыс. чел.; умерло всего-8 тыс. чел., в том числе у постоянных жителей- 7,2 тыс. чел., прибыло на постоянное жительство 5 тыс. чел., выехало на постоянное жительство (из числа постоянных жителей) 4,3 тыс. чел. Численность временно проживающих на конец года уменьшилось на 1,6 тыс. чел., а численность временно отсутствующих увеличилась на 1,5 тыс. чел.
Определите:
1) численность постоянного населения на начало и конец года;
2) численность наличного населения на конец года;
3) среднегодовую численность постоянного населения;
4) показатели естественного и миграционного движения постоянного населения.
Вариант 9
Имеются следующие данные по региону за 2000 г. Численность населения тыс. чел.:
На 1 января 640
На 1 марта 642
На 1 января 2001 г. 645
Число умерших, чел. 7680
Число выбывших на постоянное жительство в другие населённые пункты, чел. 2000
Коэффициент жизненности 1,26
Доля женщин в общей численности населения, % 57,8
Доля женщин в возрасте 15-49 лет в общей численности женщин, % 35,9
Определите:
1) коэффициенты рождаемости, смертности, естественного и механического прироста населения;
2) число родившихся;
3) число прибывших на постоянное жительство из других населённых пунктов;
4) специальный коэффициент рождаемости.
Вариант 10
Численность населения города на начало года составила 81 тыс. чел. За год родилось 840 чел., умерло 790 чел. сальдо миграции составило 155 чел. Число женщин в возрасте 15-49 лет в среднем за год составило 19,5 тыс. чел.
Определите:
1) общие коэффициенты рождаемости и смертности;
2) специальный коэффициент рождаемости;
3) коэффициенты естественного, миграционного и общего (разными способами) прироста населения.