Национальное богатство - совокупность накопленных материальных и нематериальных активов, созданных трудом всех предшествующих поколений (национальное имущество).
Одним из важнейших компонентов национального богатства является основной капитал. Он может быть произведённым и непроизведённым, может выступать как в материальной, так и в нематериальной форме.
Произведённый материальный основной капитал - основные фонды, которые длительное время (больше года) участвуют в процессе производства товаров, оказания рыночных и нерыночных услуг, постепенно утрачивая свою стоимость.
Произведённый нематериальный основной капитал включает такие виды средств, как оригиналы литературных и художественных произведений, компьютерное программное обеспечение, геологоразведочные работы и прочие нематериальные средства.
Непроизведённый основной капитал в материальной форме – это земля, недра, вода и т.д.
Непроизведённый основной капитал в нематериальной форме – патенты, авторские права, лицензии и т.д.
|
|
|
Различают несколько видов оценок основных фондов.
Полная первоначальная стоимость – фактическая стоимость ввода в действие объектов основных фондов. В нее входят затраты на приобретение, транспортировку, монтаж, на расширение и модернизацию средств труда в процессе их эксплуатации.
Первоначальная стоимость за вычетом износа (остаточная) равна полной первоначальной стоимости основных фондов уменьшенной на величину накопленного к этому моменту износа.
Полная восстановительная стоимость – это стоимость воспроизводства новых основных фондов в современных условиях при их переоценке.
Восстановительная стоимость за вычетом износа (остаточная восстановительная стоимость) - стоимость основных фондов, не перенесённая на созданный продукт. Определяется по результатам переоценки основных фондов как разница между полной восстановительной стоимостью и денежной оценкой износа.
Наличие основных фондов на конец года
ФК = ФН + П − В,
где ФН и ФК - полная стоимость основных фондов на начало и конец года;
П и В – полная стоимость поступивших и выбывших основных фондов.
Ф'К = Ф'Н + Пнов + П′ − В′ + Кр − А,
где Ф'К и Ф'Н - остаточная стоимость основных фондов на начало и конец года;
П ′ и B′ - остаточная стоимость поступивших и выбывших основных фондов;
Пнов - полная стоимость поступивших новых основных фондов;
Кр - стоимость капитального ремонта основных фондов за год;
А - годовая сумма амортизации.
К показателям состояния основных фондов относятся коэффициенты годности и износа, которые исчисляются на начало и конец года.
|
|
|
Чтобы исчислить коэффициенты износа и годности на начало года, надо прежде найти сумму их износа на начало года (ИН):

Чтобы вычислить коэффициенты износа и годности основных фондов на конец года, надо знать сумму их износа на конец года, а для этого необходимо определить сумму износа (сумму амортизационных отчислений) за год, для чего, в свою очередь, следует определить среднегодовую стоимость основных фондов.
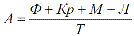
Сумма амортизационных отчислений за год будет равна (А):

где N - годовая норма амортизации;
- среднегодовая стоимость основных фондов.
Или

где Ф - полная первоначальная стоимость основных фондов;
М- затраты на модернизацию в течение амортизационного периода;
Кр - стоимость капитального ремонта в течение амортизационного периода;
Л - ликвидационная стоимость основных фондов за вычетом расходов на их демонтаж;
Т - продолжительность амортизационного периода в годах.
Если прибавить к сумме износа основных фондов на начало года сумму их износа за год и вычесть сумму износа выбывших фондов (Ив) и стоимость капитального ремонта за год, получим сумму износа основных фондов на конец года
ИК = ИН + А − ИВ − Кр.
Эту же величину можно найти путем вычитания остаточной стоимости основных фондов на конец года из их полной стоимости на конец года
ИК = ФК − Ф′R.
Коэффициент износа и годности основных фондов на конец года:

Коэффициент выбытия исчисляется путем деления стоимости всех выбывших за год основных фондов (В) на стоимость основных фондов на начало года.
Этот общий коэффициент можно разложить на ряд частных коэффициентов, характеризующих выбытие по отдельным причинам: из-за ветхости и износа (В1), вследствие передачи другим хозяйствующим субъектам (В2), вследствие потерь (Вз).

Коэффициент поступления исчисляется путем деления стоимости всех поступивших в течение года основных фондов на стоимость основных фондов на конец года. Этот общий коэффициент поступления также можно разложить на ряд частных коэффициентов:

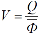
Обобщающим показателем использования основных производственных фондов является фондоотдача (V) - отношение объема произведенной за период продукции (Q) к средней за этот период стоимости основных производственных фондов (Ф)

Фондоотдача показывает стоимость произведенной продукции на 1руб. стоимости основных производственных фондов.
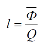
Фондоемкость является величиной обратной фондоотдаче, характеризующая стоимость основных производственных фондов, приходящаяся на 1 руб. произведенной продукции:

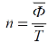
Для изучения оснащенности труда работающих основными производственными фондами в статистической практике рассчитывают показатель фондовооруженности (n)

где
- среднесписочное число работающих.
Если фондоотдачу умножить на фондовооруженность, то получим показатель производительности труда
V ×n =W,
где W - уровень производительности труда.
Так же связаны между собой и показатели динамики вышеназванных показателей
iv × in = iw.
Оборотный капитал - активы, которые используются в процессе производства однократно, видоизменяют свою натурально-вещественную форму, и их стоимость полностью входит в стоимость изготовляемой из них продукции и услуг.
Для определения обеспеченности процесса производства продукции и услуг оборотными средствами, эффективности их использования статистика применяет следующие показатели:
1. Показатель обеспеченности производства запасами в днях

где
- обеспеченность производства запасами в днях;
З - объем фактических запасов материальных ценностей;
- среднедневная потребность в запасах.
2. Коэффициент оборачиваемости оборотных средств характеризует количество оборотов среднего остатка оборотных средств и определяется по формуле
|
|
|

где П(Р) - объем произведенной (реализованной) продукции;
- средний остаток оборотных средств.
3. Коэффициент закрепления оборотных средств характеризует сумму оборотных средств, необходимую для производства (реализации) одного рубля продукции, определяется по формуле

4. Средняя продолжительность одного оборота оборотных средств показывает время (в днях), в течение которого оборотные средства могут обернуться один раз, определяется по формуле

где Д - число календарных дней в периоде.
5. Размер высвобожденных оборотных средств из оборота (привлечения их из оборота) в результате изменения их оборачиваемости в отчетном периоде по сравнению с базисом исчисляется по формуле

где В - размер высвобожденных (привлечённых) из оборота оборотных средств в результате изменения их оборачиваемости;
П(Р)1 - объём произведённой (реализованной) продукции в отчетном году;
t0 - средняя продолжительность одного оборота;
-средний остаток оборотных средств в отчетном периоде;
Кзак0 и Кзак1 - коэффициенты закрепления оборотных средств в базисном и отчётном периодах.
Задачи по вариантам.
Вариант 1
Промышленно-производственные фонды отрасли на начало года составили: по полной первоначальной стоимости 50 млрд. руб., по первоначальной стоимости с учётом износа - 4- млрд. руб.,15 апреля поступило новых фондов на 10 млрд. руб., 13 октября выбыло фондов на 5 млрд. руб.(по полной стоимости) их остаточная стоимость - 0,1 млрд. руб. На капитальный ремонт основных средств за год израсходовано 6 млрд. руб.
Годовая норма амортизации – 8 %.
Определите:
1. Коэффициенты износа и годности основных фондов на начало и конец года.
2. Коэффициенты выбытия и обновления основных фондов.
Вариант 2
Имеются данные об основных фондах промышленности региона за год:
1. Сумма износа основных фондов на начало года, млрд. руб. 5500
2. Коэффициент износа на начало года, % 25,0
3. Стоимость произведённого за год капитального ремонта, млрд. руб. 820
4. Выбыло основных фондов за год по полной первоначальной стоимости, млрд. руб. 1000
5.Процент износа выбывших основных фондов 95
|
|
|
6. Среднегодовая норма износа, % 10
7. Введено в эксплуатацию новых основных фондов, млрд. руб. 2500
Определите:
1.Стоимость основных фондов на начало года:
а) полную первоначальную;
б) первоначальную за вычетом износа.
2. Полную первоначальную стоимость основных фондов на конец года.
3. Среднюю годовую стоимость основных фондов.
4. Первоначальную стоимость основных фондов на конец года.
5. Сумму износа на конец года.
Вариант 3
Известны следующие данные об основных фондах отрасли за год:
1. Полная первоначальная стоимость основных фондов на начало года, млрд. руб. 320
2. Стоимость введённых в эксплуатацию новых основных фондов, млрд. руб. 312,0
3. Коэффициент обновления основных фондов, % 52
4. Коэффициент выбытия основных фондов, % 10
Определите:
1. Стоимость выбывших основных фондов.
2. Полную первоначальную стоимость основных фондов на конец года.
3.Среднюю годовую стоимость основных фондов.
Вариант 4
Имеются следующие показатели по кооперативной промышленности региона:
| Показатели | Базисный год | Отчетный год |
1. Средняя стоимость основных производственных фондов, млрд. руб. | 12,5 | |
| 2. Объем произведенной продукции, млрд. руб. (Q) | 22.5 | |
3. Средняя численность работников, тыс. чел. |
Определите:
1. Фондоотдачу, фондовооруженность, производительность труда.
2. Индексы фондоотдачи, фондовооруженности, производительности труда.
3. Размер прироста произведённой продукции:
а) за счёт изменения фондоотдачи;
б) за счёт стоимости основных производственных фондов.
Вариант 5
Срок службы станка 12 лет. Стоимость капитального ремонта составила за эти годы 14 тыс. руб. Ликвидационная стоимость станка - 2 тыс. руб. Ежегодные амортизационные отчисления – 15 тыс. руб.
Определите:
1. Полную первоначальную стоимость станка.
2. Годовую норму амортизации.
Вариант 6
Организация приобрела в 2001 г. пять станков, оптовая цена – 80 тыс. рублей за каждый станок. Стоимость транспортировки, монтажа и наладки всех станков составила 50 тыс. руб. Через год было приобретено и установлено еще три станка такой же конструкции, первоначальная стоимость которых составила 285 тыс. руб.
Определите полную первоначальную и полную восстановительную стоимость всех станков.
Вариант 7
В базисном периоде выручка от продажи продукции, работ, услуг отрасли региона составила 340 млн. руб., средний остаток материальных оборотных средств - 34 млн. руб. В отчётном периоде выручка от продажи составила 450 млн. руб., средний остаток оборотных средств - 30 млн. руб. Число календарных дней в базисном и отчетном периодах - 30 дней.
Определите:
1. Коэффициенты оборачиваемости оборотных средств.
2. Продолжительность одного оборота в днях.
3. Сумму средств, высвобожденных из оборота в результате ускорения оборачиваемости в отчётном периоде по сравнению с базисным.
Вариант 8
Хлебопекарные организации области реализовали продукции в 2000 г. на 864 млн. руб., в 2001 г. – на 1001,5 млн. руб.; среднегодовая стоимость оборотных средств в 2000 г. – 192 млн. руб., в 2001 г. остатки оборотных средств были равны (млн. руб.): на 1 января – 160, на 1 февраля – 172, на 1 марта – 168, на 1 апреля –172, на 1 мая – 180, на 1 июня – 184, на 1 июля – 184, на 1 августа – 196, на 1 сентября – 212, на 1 октября – 224, на 1 ноября – 240, на 1 декабря – 264, на 1 января 2002 г. – 272.
Определите:
1. Среднегодовую стоимость оборотных средств.
2. Число оборотов оборотных средств в 2000 г. и 2001 г.
3. Динамику числа оборотов оборотных средств.
Вариант 9
Имеются данные о производственных фондах одной из отраслей промышленности области за год, млн. руб.:
1. Основные фонды по первоначальной стоимости на начало года 59,0
2. Сумма износа основных фондов на начало года 31,0
3. Введено в действие новых основных фондов за год 20,0
4. Стоимость выполненного за год капитального ремонта 30,0
5. Выбыло основных фондов в течение года по полной первоначальной стоимости - 8.0
6. Стоимость выбывших основных фондов с учётом износа 1.0
7. Сумма начисленного за год износа 7,6
8. Стоимость произведённой продукции 114,0
Определите:
1. Полную первоначальную стоимость основных фондов на начало и конец года.
2. Остаточную стоимость основных фондов на конец года.
3. Коэффициенты износа и годности основных фондов на начало и конец года.
4. Коэффициент обновления основных фондов.
5. Показатели использования основных фондов за год.
Вариант 10
Имеются данные об основных фондах кооперативной торговли области за год, млн. руб.:
1. Полная первоначальная стоимость основных фондов на начало года 16430
2. Сумма износа основных фондов на начало года 4929
3. Введено в действие новых основных фондов за год 3900
4. Стоимость выполненного за год капитального ремонта 1650
4. Выбыло основных фондов из-за ветхости и износа по стоимости
за вычетом износа 100
6. Полная первоначальная стоимость выбывших основных фондов 2100
7. Сумма начисленного износа за год 2773
Определите:
1. Стоимость основных фондов на конец года:
а) полную первоначальную;
б) первоначальную за вычетом износа.
2. Сумму износа основных средств на конец года.
3. Коэффициенты состояния основных средств на начало года.
4. Коэффициенты движения основных средств.






