Важнейшей задачей статистики издержек производства и обращения являются: изучение уровня и динамики себестоимости продукции, анализ влияния отдельных факторов на изменение затрат на производство и реализацию продукции.
С этой целью могут быть использованы индивидуальные и общие индексы себестоимости.
1) Индекс планируемого изменения себестоимости единицы продукции:

Дополнительные затраты на производство продукции
Δпл = (zпл − zо) * qпл.
2) Индекс выполнения плана по себестоимости продукции

Дополнительные затраты на производство продукции
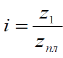
Δz = (z1 − zпл) * q1.
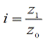
3) Индекс динамики стоимости продукции

Дополнительные затраты на производство продукции
Δфакт. = (z1 − z0) *q1.
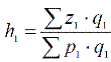
Затраты на рубль продукции определяются:
1) в базисном периоде

где ∑ z0·q0 - себестоимость продукции в базисном периоде;
∑ p0·q0 - стоимость продукции в базисном периоде;
2) в отчетном периоде

где ∑ z1·q1 - себестоимость продукции в отчетном периоде;
∑ p1·q1 - стоимость продукции, произведенной в отчетном периоде.
Изменение фактических затрат на рубль произведенной продукции по сравнению с уровнем затрат базисного периода (Δh = h1 − h0) обусловлено действием следующих факторов:
а) изменением в ассортименте произведенной продукции

где ∑ z0·q1 - затраты на производство продукции в отчетном периоде при базисных уровнях себестоимости;
∑ p0·q1 - стоимость произведенной в отчетном периоде продукции, выраженная в ценах базисного периода;
б) изменением уровней себестоимости продукции

в) изменением цен на произведенную продукцию

Таким образом, общее изменение затрат на рубль произведенной продукции за счет всех факторов составляет:
Δh = Δh1 + Δh2 + Δh3.
Задачи по вариантам
Вариант 1
Имеются данные о выпуске продукции и затратах на производство продукции.
Определите по каждому типу продукции и по всей произведённой продукции:
1. Индексы планового задания, выполнения плана и динамики себестоимости продукции;
2. Сумму экономии от снижения себестоимости продукции: плановую, фактическую, сверхплановую, выделив суммы сверхплановой экономии, полученной вследствие изменения объёма выпуска продукции и себестоимости единицы продукции по сравнению с планом
| Вид продукции | Выпуск, шт. | Затраты на выпуск, тыс. руб. | ||||
| базисный период | отчетный период | базисный период | отчетный период | |||
| по плану | фактически | по плану | фактически | |||
| А | 160,0 | 151,5 | 149,4 | |||
| Б | 400,0 | 369,0 | 369,6 |
Вариант 2
Имеются данные о затратах на производство продукции.
| Вид продукции | Общая сумма затрат на производство продукции, тыс. руб. | Изменение себестоимости в отчетном периоде по сравнению с базисным, % | |
| базисный период | отчетный период | ||
| А Б В | +3 -2,5 -0,5 |
Определите:
1) индекс общей суммы затрат на производство продукции;
2) общий индекс себестоимости продукции;
3) сумму экономии (перерасхода), полученную в отчетном периоде за счет изменения себестоимости продукции.
Вариант 3
Имеются данные о выпуске продукции и ее себестоимости по промышленному
предприятию.
| Вид продукции | Выпуск, шт. | Себестоимость единицы продукции, руб. | ||||
| базисный период | отчетный период | базисный период | отчетный период | |||
| по плану | фактически | по плану | фактически | |||
| А | 232,0 | 230,0 | 229,0 | |||
| Б | — | — | 105,0 | 105,0 | ||
| В | 802,4 | 782,2 | 772,0 | |||
| Г | — | - | 110,0 | - | — |
Определите: по сравнимой продукции:
1) индексы планового задания, выполнения плана и динамики себестоимости;
2) сумму экономии (дополнительных затрат) от снижения (роста) себестоимости продукции: плановую, фактическую, сверхплановую (всего и за счет отдельных факторов).
Вариант 4
Имеются данные о производстве однородной продукции, производимой предприятиями № 1 и 2.
| Предприятие | Базисный период | Отчетный период | ||
| произведено продукции, шт. | затраты на выпуск, тыс. руб. | произведено продукции, шт. | затраты на выпуск, тыс. руб. | |
| №1 | ||||
| №2 |
Определите:
1) изменение себестоимости единицы продукции на каждом предприятии;
2) среднюю себестоимость единицы продукции в целом по двум предприятиям;
3) индексы себестоимости продукции переменного и постоянного состава, индекс влияния структурных сдвигов. Объясните причину расхождения между величинами индексов
себестоимости продукции переменного и постоянного состава.
Вариант 5
Имеются данные о производстве однородной продукции, производимой предприятиями № 1 и 2.
| Предприятие | Базисный период | Отчетный период | ||
| произведено продукции, шт. | затраты на выпуск, тыс. руб. | произведено продукции, шт. | затраты на выпуск, тыс. руб. | |
| №1 | ||||
| №2 |
Определите:
1) изменение себестоимости единицы продукции на каждом предприятии;
2) среднюю себестоимость единицы продукции в целом по двум предприятиям;
3) индексы себестоимости продукции переменного и постоянного состава, индекс влияния
структурных сдвигов.
Вариант 6
Имеются следующие данные о себестоимости единицы продукции, тыс. руб.
фактическая в базисном периоду 3,5
плановая в отчётном периоде 3,4
фактическая в отчётном периоде 3,1
Определить индекс планового задания по снижению себестоимости единицы продукции, абсолютную экономию (удорожания) вследствие планируемого изменения себестоимости продукции. Индекс выполнения плана по себестоимости единицы продукции. Величину сверхплановой экономии (перерасхода) средств вследствие отклонения фактической себестоимости единицы продукции от плановой её себестоимости.
Вариант 7
В отчетном году грузооборот отделения дороги составил 9,5 млрд. ткм, себестоимость 10 ткм в грузовом движении – 2,115 руб. Определить общую сумму фактически полученной сверхплановой экономии от снижения себестоимости транспортной продукции, если на отделении дороги себестоимость единицы этой продукции по плану на отчетный год предусматривалась на уровне 2,253 руб./10 ткм.
Вариант 8
Определить индекс планового задания по снижению себестоимости, индекс фактического снижения себестоимости, общую сумму плановой экономии, полученной от снижения себестоимости; индекс выполнения плана по себестоимости сравниваемой товарной продукции; выявить влияние сдвигов в объеме и структуре выпущенной продукции на финансовые результаты предприятия на основании следующих данных, тыс. руб.:
себестоимость планируемого объёма выпуска товарной продукции 1700
то же при средней годовой себестоимости прошлого года 1800
фактически произведённая товарная продукция по себестоимости:
фактической 1950
плановой 2100
средней годовой прошлого года 2300
Вариант 9
По производственному объединению имеются следующие данные (тыс. руб.)
Стоимость произведенной продукции по плану 4800
Полная себестоимость продукции по плану 3312
Стоимость фактически произведённой продукции:
в ценах принятых в плане 4850
в фактических ценах реализации 4900
Себестоимость фактически выпущенной продукции:
плановая………………………………………………………………………..3300
фактическая…………………………………………………………………....3240
Проанализируйте выполнение плана по себестоимости продукции и определите отклонение (в копейках и в процентах) фактических затрат на рубль продукции от уровня затрат по плану вследствие изменений в ассортименте, себестоимости продукции и оптовых ценах.
Вариант 10
Имеются данные о затратах на производство продукции (тыс. руб.).
| Статьи затрат | Затраты на фактически произведённую продукцию | |
| при плановых уровнях себестоимости | при фактических уровнях себестоимости | |
| Сырьё и основные материалы | ||
| Покупные полуфабрикаты | ||
| Топливо и электроэнергия на технологические цели | ||
| Заработная плата производственных рабочих основная и дополнительная с отчислением на социальное страхование | ||
| Расходы на содержание и эксплуатацию оборудования | ||
| Цеховые расходы | ||
| Общезаводские расходы | ||
| Коммерческие расходы |
Определите:
1) структуру затрат фактически выпущенной продукции при плановых и фактических уровнях себестоимости;
2) экономию (перерасход) по каждой статье затрат (тыс. руб., процентов) и её влияние на изменение полной себестоимости продукции (в процентах).