Рассмотрим метод определения модуля и направления вектора напряженности Е в каждой точке электростатического поля, создаваемого системой неподвижных зарядов Q1, Q2,…, Qn.
Опыт показывает, что к кулоновским силам применим рассмотренный в механике принцип независимости действия сил (см. § 6), т. е. результирующая сила F, действующая со стороны поля на пробный заряд Q0 равна векторной сумме сил Fi, приложенных к нему со стороны каждого из зарядов Q ;.
(80.1)
Согласно (79.1), F = Q0E и F1 = Q0E1, где Е — напряженность результирующего поля, а Е1 — напряженность поля, создаваемого зарядом Q1. Подставляя последние выражения в (80.1), получаем
(80.2)
Формула (80.2) выражает принцип суперпозиции (наложения) электростатических полей, согласно которому напряженность Е результирующего поля, создаваемого системой зарядов, равна геометрической сумме напряженностей полей, создаваемых в данной точке каждым из зарядов в отдельности.
Принцип суперпозиции позволяет рассчитать электростатические поля любой системы неподвижных зарядов, поскольку если заряды не точечные, то их можно всегда свести к совокупности точечных зарядов.
|
|
|
Принцип суперпозиции применим для расчета электростатического поля электрического диполя. Электрический диполь — система двух равных по модулю разноименных точечных зарядов (+Q, - Q), расстояние l между которыми значительно меньше расстояния до рассматриваемых точек поля. Вектор, направленный по оси диполя (прямой, проходящей через оба заряда) от отрицательного заряда к положи тельному и равный расстоянию между ними, называется плечом диполя l. Вектор
(80.3)
совпадающий по направлению с плечом диполя и равный произведению заряда |Q|на плечо 1, называется электрическим моментом диполя или дипольным моментом (рис. 122).

Рис. 122
Согласно принципу суперпозиции (80.2), напряженность Е поля диполя в произвольной точке

где Е+ и Е_ — напряженности полей, создаваемых соответственно положительным и отрицательным зарядами. Воспользовавшись этой формулой, рассчитаем напряженность поля в произвольной точке на продолжении оси диполя и на перпендикуляре к середине его оси.
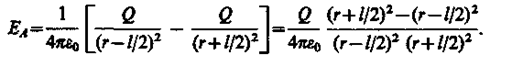
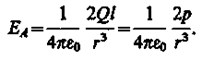
1. Напряженность поля на продолжении оси диполя в точке А (рис. 123).

Рис. 123
Как видно из рисунка, напряженность поля диполя в точке А направлена по оси диполя и по модулю равна

Обозначив расстояние от точки А до середины оси диполя через г, на основании формулы (79.2) для вакуума можно записать

Согласно определению диполя, l /2 ≪ г, поэтому

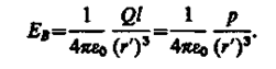
2. Напряженность поля на перпендикуляре, восставленном к осям из его середины, в точке В (рис. 123). Точка В равноудалена от зарядов, поэтому
(80.4)
где г' — расстояние от точки В до середины плеча диполя. Из подобия равнобедренных треугольников, опирающихся на плечо диполя и вектор Ев, получим
|
|
|
(80.5)
Подставив в выражение (80.S) значение (80.4), получим

Вектор Egимеет направление, противоположное вектору электрического момента диполя (вектор р направлен от отрицательного заряда к положительному).






