Колебаниями называются движения или процессы, которые характеризуются определенной повторяемостью во времени. Колебательные процессы широко распространены в природе и технике, например качание маятника часов, переменный электрический ток и т. д. При колебательном движении маятника изменяется координата его центра масс, в случае переменного тока колеблются напряжение и ток в цепи. Физическая природа колебаний может быть разной, поэтому различают колебания механические, электро магнитные и др. Однако различные колебательные процессы описываются одинаковы ми характеристиками и одинаковыми уравнениями. Отсюда следует целесообразность единого подхода к изучению колебаний различной физической природы. Например, единый подход к изучению механических и электромагнитных колебаний применялся английским физиком Д. У. Рэлеeм (1842—1919), А. Г. Столетовым, русским инженером-экспериментатором П. Н. Лебедевым (1866—1912). Большой вклад в развитие теории колебаний внесли Л. И. Мандельштам (1879—1944) и его ученики.
|
|
|
Колебания называются свободными (или собственными), если они совершаются за счет первоначально сообщенной энергии при последующем отсутствии внешних воз действий на колебательную систему (систему, совершающую колебания). Простейшим типом колебаний являются гармонические колебания — колебания, при которых колеблющаяся величина изменяется со временем по закону синуса (косинуса). Рассмотрение гармонических колебаний важно по двум причинам: 1) колебания, встречающиеся в природе и технике, часто имеют характер, близкий к гармоническому; 2) различные периодические процессы (процессы, повторяющиеся через равные промежутки времени) можно представить как наложение гармонических колебаний. Гармонические колебания величины s описываются уравнением типа
(140.1)
где А — максимальное значение колеблющейся величины, называемое амплитудой колебания, w0 — круговая (циклическая) частота, j— начальная фаза колебания в момент времени t = 0, (w0t + j)— фаза колебания в момент времени t. Фаза колебания определяет значение колеблющейся величины в данный момент времени. Так как косинус изменяется в пределах от +1 до - 1, то s может принимать значения от + Адо - А.
Определенные состояния системы, совершающей гармонические колебания, повторяются через промежуток времени Т, называемый периодом колебания, за который фаза колебания получает приращение 2p, т. е.

откуда
(140.2)
Величина, обратная периоду колебаний,
(140.3)
т. е. число полных колебаний, совершаемых в единицу времени, называется частотой колебаний. Сравнивая (140.2) и (140.3), получим

Единица частоты — герц (Гц): 1 Гц — частота периодического процесса, при которой за 1 с совершается один цикл процесса.
|
|
|
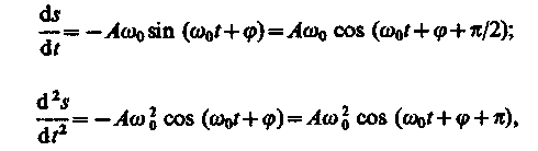
Запишем первую и вторую производные по времени от гармонически колеблющейся величины s:
(140.4) (140.5)
т. е. имеем гармонические колебания с той же циклической частотой. Амплитуды величин (140.4) и (140.5) соответственно равны Аw0 и Аw20.Фаза величины (140.4) отличается от фазы величины (140.1) на p/2, а фаза величины (140.5) отличается от фазы величины (140.1) на p. Следовательно, в моменты времени, когда s = 0, ds/dtприобретает наибольшие значения; когда же s достигает максимального отрицательного значения, то d2s/dt2 приобретает наибольшее положительное значение (рис. 198).
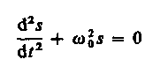
Из выражения (140.5) следует дифференциальное уравнение гармонических колебаний
(140.6)
(где s = A cos (w0t + j)). Решением этого уравнения является выражение (140.1).

Рис. 198
Гармонические колебания изображаются графически методом вращающегося вектора амплвтуды, или методом векторных диаграмм. Для этого из произвольной точки О, выбранной на оси х, под углом j, равным начальной фазе колебания, откладывается вектор А, модуль которого равен амплитуде А рассматриваемого колебания (рис. 199).

Рис. 199
Если этот вектор привести во вращение с угловой скоростью w0, равной циклической частоте колебаний, то проекция конца вектора будет перемещаться по оси х и принимать значения от - А до +А, а колеблющаяся величина будет изменяться со временем по закону s = Acos(w0t + j). Таким образом, гармоническое колебание можно представить проекцией на некоторую произвольно выбранную ось вектора амплитуды А, отложенного из произвольной точки оси под углом j, равным начальной фазе, и вращающегося с угловой скоростью w0 вокруг этой точки.
В физике часто применяется другой метод, который отличается от метода вращающегося вектора амплитуды лишь по форме. В этом методе колеблющуюся величину представляют комплексным числом. Согласно формуле Эйлера, для комплексных чисел

где
— мнимая единица. Поэтому уравнение гармонического колебания (140.1) можно записать в комплексной форме:
(140.8)
Вещественная часть выражения (140.8)

представляет собой гармоническое колебание. Обозначение Re вещественной части условимся опускать и (140.8) будем записывать в виде

В теории колебаний принимается, что колеблющаяся величина s равна вещественной части комплексного выражения, стоящего в этом равенстве справа.