Автоколебания
Рассмотрим свободные затухающие колебания — колебания, амплитуды которых из-за потерь энергии реальной колебательной системой с течением времени уменьшаются. Простейшим механизмом уменьшения энергии колебаний является ее превращение в теплоту вследствие трения в механических колебательных системах, а также омических потерь и излучения электромагнитной энергии в электрических колебательных системах.
Закон затухания колебаний определяется свойствами колебательных систем. Обычно рассматривают линейные системы — идеализированные реальные системы, в которых параметры, определяющие физические свойства системы, в ходе процесса не изменяются. Линейными системами являются, например, пружинный маятник при малых растяжениях пружины (когда справедлив закон Гука), колебательный контур, индуктивность, емкость и сопротивление которого не зависят ни от тока в контуре, ни от напряжения. Различные по своей природе линейные системы описываются идентичными линейными дифференциальными уравнениями, что позволяет подходить к изучению колебаний различной физической природы с единой точки зрения, а также проводить их моделирование, в том числе и на ЭВМ.
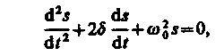
Дифференциальное уравнение свободных затухающих колебаний линейной системы задается в виде
(146.1)
где s — колеблющаяся величина, описывающая тот или иной физический процесс, d = const — коэффициент затухания, w0 — циклическая частота свободных незатухающих колебаний той же колебательной системы, т. е. при d = 0 (при отсутствии потерь энергии) называется собственной частотой колебательной системы. Решение уравнения (146.1) рассмотрим в виде
(1462)
где u = u(t). После нахождения первой и второй производных выражения (146.2) и подстановки их в (146.1) получим
(146.3)
Решение уравнения (146.3) зависит от знака коэффициента перед искомой вели чиной. Рассмотрим случай, когда этот коэффициент положителен:
(146.4)
(если (w2 - d2) > 0, то такое обозначение мы вправе сделать). Тогда получим уравнение типа (142.1)
, решением которого является функция u = A0cjs(wt + j) (см. (140.1)). Таким образом, решение уравнения (146.1) в случае малых затуханий (d2≪ w20)
(146.6)
(146.6)
— амплитуда затухающих колебаний, а A0— начальная амплитуда. Зависимость (146.5) показана на рис. 208 сплошной линией, а зависимость (146.6) — штриховыми линиями. Промежуток времени t = 1/d, в течение которого амплитуда затухающих колебаний уменьшается в е раз, называется временем релаксации.

Рис. 208
Затухание нарушает периодичность колебаний, поэтому затухающие колебания не являются периодическими и» строго говоря, к ним неприменимо понятие периода или частоты. Однако если затухание мало, то можно условно пользоваться понятием периода как промежутка времени между двумя последующими максимумами (или минимумами) колеблющейся физической величины (рис. 208). Тогда период затухающих колебаний с учетом формулы (146.4) равен

Если А(T) и А(t + Т)— амплитуды двух последовательных колебании, соответствующих моментам времени, отличающимся на период, то отношение

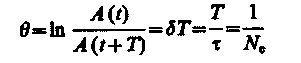
называется декрементом затухания, а его логарифм
(146.7)
— логарифмическим декрементом затухания; Ne — число колебаний, совершаемых за время уменьшения амплитуды в е раз. Логарифмический декремент затухания — постоянная для данной колебательной системы величина.
Для характеристики колебательной системы пользуются понятием добротности Q, которая при малых значениях логарифмического декремента равна
(146.8)
(так как затухание мало (d2≪ w20), то T принято равным Т0).
Из формулы (146.8) следует, что добротность пропорциональна числу колебаний Ne, совершаемых системой за время релаксации.
Выводы, полученные для свободных затухающих колебаний линейных систем, применимы для колебаний различной физической природы — механических (в качестве примера рассмотрим пружинный маятник) и электромагнитных (в качестве примера рассмотрим электрический колебательный контур).
1. Свободные затухающие колебания пружинного маятника. Для пружинного маятника (см. § 142) массой т, совершающего малые колебания под действием упругой силы F= - kx,сила трения пропорциональна скорости, т.е.

где r — коэффициент сопротивления; знак минус указывает на противоположные направления силы трения и скорости.
При данных условиях закон движения маятника будет иметь вид
(146.9)
Используя формулу
(см. (142.2)) и принимая, что коэффициент затухания
(146.10)
получим идентичное уравнению (146.1) дифференциальное уравнение затухающих колебаний маятника:

Из выражений (146.1) и (146.5) вытекает, что колебания маятника подчиняются закону

где частота
(см. (146.4)).
Добротность пружинного маятника, согласно (146.8) и (146.10),
.
2. Свободные затухающие колебания в электрическом колебательном контуре. Дифференциальное уравнение свободных затухающих колебаний заряда в контуре (при R ¹ 0) имеет вид (см. (143.2))

Учитывая выражение (143.4) и принимая коэффициент затухания
(146.11)
дифференциальное уравнение (143.2) можно записать в идентичном уравнению (146.1) виде

Из выражений (146.1) и (146.5) вытекает, что колебания заряда совершаются по закону
(146.12) (146.13)
меньшей собственной частоты контура w 0 (см. (143.4)). При R = 0 формула (146.13) переходит в (143.4).
Логарифмический декремент затухания определяется формулой (146.7), а добротность колебательного контура (см. (146.8))
(146.14)
В заключение отметим, что при увеличении коэффициента затухания d период затухающих колебаний растет и при d = w0обращается в бесконечность, т. е. движение перестает быть периодическим. В данном случае колеблющаяся величина асимптотически приближается к нулю, когда t ® ¥. Процесс не будет колебательным. Он называется апериодическим.
Огромный интерес для техники представляет возможность поддерживать колебания незатухающими. Для этого необходимо восполнять потери энергии реальной колебательной системы. Особенно важны и широко применимы так называемые автоколебания — незатухающие колебания, поддерживаемые в диссипативной системе за счет постоянного внешнего источника энергии, причем свойства этих колебаний определяются самой системой.
Автоколебания принципиально отличаются от свободных незатухающих колебаний, происходящих без действия сил, а также от вынужденных колебаний (см. § 147), происходящих под действием периодической силы. Автоколебательная система сама управляет внешними воздействиями, обеспечивая согласованность поступления энергии определенными порциями в нужный момент времени (в такт с ее колебаниями).
Примером автоколебательной системы могут служить часы. Храповой механизм подталкивает маятник в такт с его колебаниями. Энергия, передаваемая при этом маятнику, берется либо за счет раскручивающейся пружины, либо за счет опускающегося груза. Колебания воздуха в духовых инструментах и органных трубах также возникают вследствие автоколебаний, поддерживаемых воздушной струей.
Автоколебательными системами являются также двигатели внутреннего сгорания, паровые турбины, ламповый генератор и т. д.







