Если среда, в которой распространяется одновременно несколько волн, линейна, т. е. ее свойства не изменяются под действием возмущений, создаваемых волной, то к ним применим принцип суперпозиции (наложения) волн: при распространении в линейной среде нескольких волн каждая из них распространяется так, как будто другие волны отсутствуют, а результирующее смещение частицы среды в любой момент времени равно геометрической сумме смещений, которые получают частицы, участвуя в каждом из слагающих волновых процессов.
Исходя из принципа суперпозиции и разложения Фурье (см. (144.5)) любая волна может быть представлена в виде суммы гармонических волн, т. е. в виде волнового пакета, или группы волн. Волновым пакетом называется суперпозиция волн, мало отличающихся друг от друга по частоте, занимающая в каждый момент времени ограниченную область пространства.
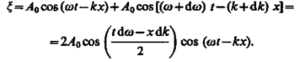
«Сконструируем» простейший волновой пакет из двух распространяющихся вдоль положительного направления оси х гармонических волн с одинаковыми амплитудами, близкими частотами и волновыми числами, причем dw ≪ w и dk ≪ k. Тогда

Эта волна отличается от гармонической тем, что ее амплитуда

есть медленно изменяющаяся функция координаты х и времени t.
За скорость распространения этой негармонической волны (волнового пакета) принимают скорость перемещения максимума амплитуды волны, рассматривая тем самым максимум в качестве центра волнового пакета. При условии, что tdw = xdk = const, получим
(155.1)
Скорость и есть групповая скорость. Ее можно определить как скорость движения группы волн, образующих в каждый момент времени локализованный в пространстве волновой пакет. Выражение (155.1) получено для волнового пакета из двух составляющих, однако можно доказать, что оно справедливо в самом общем случае.
Рассмотрим связь между групповой
(см. (155.1)) и фазовой u =w/k (см. (154.8)) скоростями. Учитывая, что k =2p/l (см. (154.3)), получим 288

или
(155.2)
Из формулы (155.2) вытекает, что и может быть как меньше, так и больше v в зависимости от знака dv/dl. В недиспергирующей среде dv/dl. = 0 и групповая скорость совпадает с фазовой.
Понятие групповой скорости очень важно, так как именно она фигурирует при измерении дальности в радиолокации, в системах управления космическими объектами и т. д. В теории относительности доказывается, что групповая скорость u £ c, в то время как для фазовой скорости ограничений не существует.






