Из макроскопической электромагнитной теории Максвелла следует, что абсолютный показатель преломления среды

где e — диэлектрическая проницаемость среды, m— магнитная проницаемость. В оптической области спектра для всех веществ m»1, поэтому
(186.1)
Из формулы (186.1) выявляются некоторые противоречия с опытом: величина n, являясь переменной (см. § 185), остается в то же время равной определенной постоянной - Öe. Кроме того, значения n, получаемые из этого выражения, не согласуются с опытными значениями. Трудности объяснения дисперсии света с точки зрения электромагнитной теории Максвелла устраняются электронной теорией Лоренца. В теории Лоренца дисперсия света рассматривается как результат взаимодействия электромагнитных волн с заряженными частицами, входящими в состав вещества и совершающими вынужденные колебания в переменном электромагнитном поле волны.
Применим электронную теорию дисперсии света для однородного диэлектрика, предположив формально, что дисперсия света является следствием зависимости e от частоты wсветовых волн. Диэлектрическая проницаемость вещества, по определению (см. (88.6) и (88.2)), равна
|
|
|

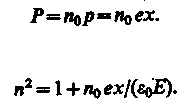
где æ— диэлектрическая восприимчивость среды, e0 — электрическая постоянная, Р — мгновенное значение поляризованности. Следовательно,
(186.2)
т. е. зависит от Р. В данном случае основное значение имеет электронная поляризация, т. е. вынужденные колебания электронов под действием электрической составляющей поля волны, так как для ориентационной поляризации молекул частота колебаний в световой волне очень высока (v» 1015 Гц).
В первом приближении можно считать, что вынужденные колебания совершают только внешние, наиболее слабо связанные с ядром электроны — оптические электроны. Для простоты рассмотрим колебания только одного оптического электрона. Наведенный дипольный момент электрона, совершающего вынужденные колебания, равен р = ех, где е — заряд электрона, х — смещение электрона под действием электрического поля световой волны. Если концентрация атомов в диэлектрике равна n0 то мгновенное значение поляризованности
(186.3) (186.4)
Следовательно, задача сводится к определению смещения х электрона под действием внешнего поля Е. Поле световой волны будем считать функцией частоты со, т. е. изменяющимся по гармоническому закону: E = E0coswt.
Уравнение вынужденных колебаний электрона (см. § 147) для простейшего случая (без учета силы сопротивления, обусловливающей поглощение энергии падающей волны) запишется в виде
(186.5)
где F0 = eE0— амплитудное значение силы, действующей на электрон со стороны поля волны,
— собственная частота колебаний электрона, m — масса электрона. Решив уравнение (186.5), найдем e = n2 в зависимости от констант атома (е, m, w0) и частоты wвнешнего поля, т. е. решим задачу дисперсии. Решение уравнения (186.5) можно записать в виде
|
|
|
(186.6) (186.7)
в чем легко убедиться подстановкой (см. (147.8)). Подставляя (186.6) и (186.7) в (186.4), получим
(186.8)
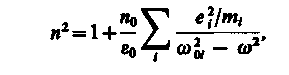
Если в веществе имеются различные заряды eh совершающие вынужденные колебания с различными собственными частотами еа0|, то
(186.9)
где m1 — масса i-го заряда.
Из выражений (186.8) и (186.9) вытекает, что показатель преломления л зависит от частоты wвнешнего поля, т. е. полученные зависимости действительно подтверждают явление дисперсии света, хотя и при указанных выше допущениях, которые в дальнейшем надо устранить. Из выражений (186.8) и (186.9) следует, что в области от w = 0 до w = w0n2больше единицы и возрастает с увеличением w(нормальная дисперсия); при w = w0n2 = ± ¥; в области от w = w0 до w = ¥n2 меньше единицы и возрастает от - ¥ до 1 (нормальная дисперсия). Перейдя от n2 к n, получим, что график зависимости n от wимеет вид, изображенный на рис. 270.

Рис. 270
Такое поведение n вблизи w0 — результат допущения об отсутствии сил сопротивления при колебаниях электронов. Если принять в расчет и это обстоятельство, то график функции л (со) вблизи too задается штриховой линией АВ. Область АВ — область аномальной дисперсии (n убывает при возрастании w), остальные участки зависимости n от w описывают нормальную дисперсию (n возрастает с возрастанием w).
Российскому физику Д. С. Рождественскому (1876—1940) принадлежит классическая работа по изучению аномальной дисперсии в парах натрия. Он разработал интерференционный метод для очень точного измерения показателя преломления паров и экспериментально показал, что формула (186.9) правильно характеризует зависимость n от w, а также ввел в нее поправку, учитывающую квантовые свойства света и атомов.