Индексные оценки применяются для неоднородных товарных групп и отражают относительное изменение, как уже отмечалось, уровня цен товаров во времени или по территориальному признаку.
Индекс (от лат. index - указатель, список) - это экономический и статистический показатель, характеризующий в относительном виде изменение экономических параметров во времени за определенный период и равный отношению конечной величины к исходной. Индекс исчисляется по отношению к базисной величине, соответствующей определенному году.
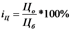
Для вычисления индивидуального индекса цен какого-либо конкретного товара важно вначале определить его цену за отчетный (текущий) период, а затем за базисный. Индивидуальный индекс цен определяется по следующей формуле:

где Цо и Цб - цена товара соответственно отчетного (текущего) и базисного периодов.
В настоящее время в отечественной и зарубежной экономической статистике различают агрегатную, среднеарифметическую и гармоническую формы индексов цен.
Для разнородных товаров (услуг) основной формой индекса цен является агрегатная.
на практике чаще всего используются средняя арифметическая форма расчета индексов цен в формуле Ласпейрса и средняя гармоническая в формуле Пааше.
Расчет индексов цен товаров по агрегатной, среднеарифметической и гармонической формам
| Форма индексов цен | Расчет индексов цен по формулам | |
| Ласпейреса | Пааше | |
| Агрегатная | | |
| Среднеарифметическая | | |
| Гармоническая | | |
При агрегатной форме расчета индексов цен экономически четко устанавливается изменение цен, при этом в формуле Ласпейреса объем проданного товара принимается в базисном периоде (Об), а в формуле Пааше - в текущем (Оо). Во многих развитых странах индексы цен товаров рассчитывают по их среднеарифметической форме, применяя формулу Ласпейреса.
В настоящее время общий индекс цен (индекс потребительских цен) в нашей стране рассчитывается по новой методике, согласно которой используется гармоническая форма расчетов индексов цен по формуле Ласпейреса. Особенно важно отметить, что формула Ласпейреса наиболее известна в мире, а рассчитываемый по ней индекс потребительских цен (ИПЦ) показывает соответствующие изменения потребительских расходов в текущем (отчетном) периоде по сравнению с базисным при постоянном потреблении.
Показатель - дефлятор валового национального продукта - в большинстве стран рассчитывается с помощью формулы Пааше, которая отражает общий объем товаров, изготовленных в текущем периоде.






