Уровень цен - это обобщающий показатель, отражающую уровень общественных затрат и доходов в конкретный период времени, на конкретной территории и конкретном предприятии.
Для анализа уровня цен в практике ценообразования используются данные о средних ценах по однородным товарным группам, которые показывают их обобщенные характеристики.
Широко используется также и расчет общих индексов цен по промышленным и продовольственным товарам, являющийся основным инструментом анализа уровней цен.
Средняя арифметическая цена рассчитывается по следующей формуле:

где Цi - цена товара; Оi - его объем.
Для анализа уровня цен наиболее широко применяют среднюю хронологическую, среднюю хронологическую взвешенную, среднюю арифметическую взвешенную, среднюю гармоническую взвешенную цены.
Средняя хронологическая цена рассчитывается по следующей формуле:

где Ц1, Ц2, Ц3,..., Цi - цены определенного периода (на начало (или конец) каждого месяца); t - число месяцев в определенном периоде.
Эта формула может применяться в случаях, когда периоды регистрации цен равнозначно отдалены друг от друга.
|
|
|
Средняя хронологическая взвешенная цена применяется в основном в случаях, если даты регистрации цен расположены неравномерно. Она определяется по следующей формуле:

где Цсрi- средняя цена за конкретный период; ti - число месяцев в определенном периоде.
Средняя арифметическая взвешенная цена применяется в случаях, если регистрируются среднемесячная (среднеквартальная) цена и объем проданных товаров за этот период (или процентные соотношения объемов проданных товаров):

где Ц - среднемесячная (среднеквартальная) цена единицы товара; О - объем проданных товаров в натуральных единицах измерения (тоннах, килограммах, литрах, метрах и др.).
Средняя гармоническая взвешенная цена применяется в случаях, если известны объемы продаж товаров в денежном выражении (рублях), соответствующие разным уровням их цен, т.е. в качестве весов применяется стоимостный показатель (можно использовать, например, и число дней торговли). Эта средняя цена рассчитывается по следующей формуле:

где Ц*О - товарооборот в рублях (цена единицы товара, умноженная на объем его продажи).
Средняя цена товарной группы отражает реальное потребление продукции улучшенного качества по более высоким ценам.
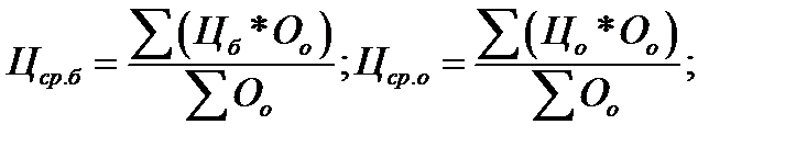
Для устранения влияния сезонности, географической обусловленности территории продаж, ассортимента товаров на изменение средних цен можно использовать постоянные веса и рассчитывать их в базисном и отчетном (текущем) периодах по следующим формулам:


где Цб и Цо - цена единицы товара соответственно в базисном и отчетном периодах; Оо - объем проданных товаров в отчетном периоде.
|
|
|






