Для записи алгоритмов используют самые разнообразные средства. Выбор средства определяется типом исполняемого алгоритма. Выделяют следующие основные способы записи алгоритмов:
- вербальный, когда алгоритм описывается на человеческом языке;
- символьный, когда алгоритм описывается с помощью набора символов;
- графический, когда алгоритм описывается с помощью набора графических изображений.
Общепринятыми способами записи являются графическая запись с помощью блок-схем и символьная запись с помощью какого-либо алгоритмического языка.
Описание алгоритма с помощью блок схем осуществляется рисованием последовательности геометрических фигур, каждая из которых подразумевает выполнение определенного действия алгоритма. Порядок выполнения действий указывается стрелками. Написание алгоритмов с помощью блок-схем регламентируется ГОСТом. Внешний вид основных блоков, применяемых при написании блок схем, приведен на рисунке:

В зависимости от последовательности выполнения действий в алгоритме выделяют алгоритмы линейной, разветвленной и циклической структуры.
|
|
|
В алгоритмах линейной структуры действия выполняются последовательно одно за другим:

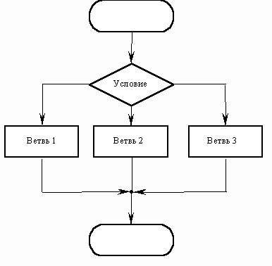
В алгоритмах разветвленной структуры в зависимости от выполнения или невыполнения какого-либо условия производятся различные последовательности действий. Каждая такая последовательность действий называется ветвью алгоритма.
В алгоритмах циклической структуры в зависимости от выполнения или невыполнения какого-либо условия выполняется повторяющаяся последовательность действий, называющаяся телом цикла. Вложенным называется цикл, находящийся внутри тела другого цикла. Различают циклы с предусловием и послеусловием:

Итерационным называется цикл, число повторений которого не задается, а определяется в ходе выполнения цикла. В этом случае одно повторение цикла называется итерацией.






