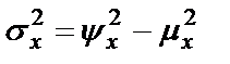
К моментам 2-го порядка относятся среднее значение квадрата случайного процесса и его дисперсия.
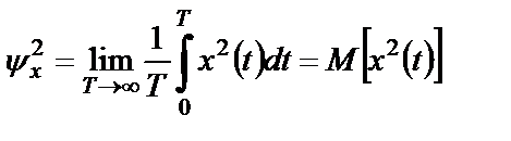
Среднее значение квадрата СП дает представление о суммарной интенсивности процесса. Для эргодического СП эта характеристика представляет собой среднее из всех значений квадрата процесса в пределах данной реализации:
. (1.16)
Абсолютная величина корня квадратного из среднего значения квадрата
называется среднеквадратичным значением.
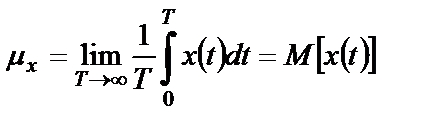
Зачастую удобно выделять в физическом процессе статическую (не зависящую от времени) и динамическую (флуктуационную) составляющие.
Статическая составляющая представляет собой среднее из всех значений процесса, т.е. равна его среднему значению:
. (1.17)
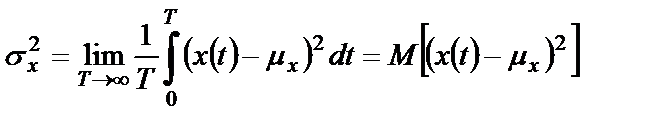
Динамическая составляющая определяется дисперсией процесса – средним квадратом отклонений его ординат от среднего значения:
. (1.18)
Положительное значение корня квадратного из дисперсии процесса
называется среднеквадратичным отклонением.
Дисперсия стационарного СП, его средний квадрат и квадрат среднего связаны соотношением:
. (1.19)






