Оценка конкурентоспособности продукции по интегральному показателю относительной конкурентоспособности товара

Конкурентоспособность нами рассматривается как свойство продукции. Ее количественной характеристикой являются различные показатели конкурентоспособности продукции. Основной, наиболее распространенный показатель конкурентоспособности - это интегральный показатель качества. Он был предложен сотрудниками ВНИИ стандартизации в 1970-х гг., а затем стандартизирован.

Интегральный показатель качества продукции (I) представляет собой отношение суммарного полезного эффекта от использования продукции по назначению (Пэ) к суммарным затратам на ее создание (Зп) и эксплуатацию (Зэ), т.е.

(1)

Например, в шинной промышленности интегральный показатель определяется как отношение показателя пробега ("ходимости") к себестоимости или цене шины.

Для стиральной машины он рассматривается как отношение количества выстиранного белья за весь срок службы к суммарным затратам, складывающимся из себестоимости и затрат на ремонт и оплату потребляемой электрической энергии.

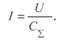
В дальнейшем мы придадим интегральному показателю более широкий смысл, понимая под ним относительную характеристику, которая определяется отношением комплексного показателя качества (U), отражающего полезность продукции, к цене потребления (СΣ), складывающейся из продажной цены и затрат потребителя при эксплуатации:

(2)

Именно таким сравнением руководствуется рядовой потребитель, выбирая необходимый ему товар из набора товаров-аналогов. Именно соотношением качество/цена широко оперируют потребительские организации в нашей стране и за рубежом, определяя рейтинг товаров исходя из их конкурентоспособности.

"Качество" и "конкурентоспособность", безусловно, термины не тождественные. Термин "интегральный показатель" - это "мостик" между ними.

Поскольку сущность понятия "конкуренция" - это соперничество, то возникает необходимость в использовании относительного показателя конкурентоспособности - уровня конкурентоспособности.

Уровень конкурентоспособности продукции - это относительная количественная характеристика.

В основу определения термина можно положить формулировку, которая была предложена А. Н. Литвиненко и А. М. Татьянченко, которые в начале 1980-х гг. провели глубокое исследование конкурентоспособности машинно-технической продукции и предложили понимать под конкурентоспособностью "характеристику товара, которая отражает его отличие от товара-конкурента как по степени соответствия конкретной общественной потребности, так и по затратам на ее удовлетворение"

Если указанную формулировку взять за основу и "привязать" ее к моменту времени, то получится точное и емкое определение термина: уровень конкурентоспособности товара - относительная характеристика товара, которая отражает в рассматриваемый период времени его отличие от товара-конкурента, как по степени соответствия общественным потребностям, так и по затратам на их удовлетворение.

Уровень конкурентоспособности (К) определяется по следующей формуле:

(3)

где I0 - интегральный показатель оцениваемой продукции; Ia - интегральный показатель продукции-аналога.

Если К > 1, то оцениваемая продукция превосходит продукцию-аналог.





Подборка статей по вашей теме: