Рыночная оценка капитала в большинстве случаев максимизируется при минимальном значении стоимости капитала.
?Подумайте, когда это положение не выполняется.
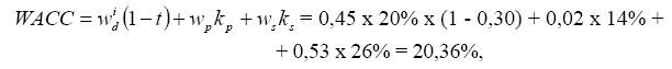
По инвестиционному проекту максимальное значение отдачи (NPV) будет достигнуто при таком сочетании элементов капитала, которое минимизирует стоимость всего капитала. Таким образом, реализуя инвестиционный проект, руководство корпорации должно придерживаться определенной (целевой) структуры капитала, которая в ряде случаев совпадает с оптимальной структурой. Например, если корпорация XY рассматривает в качестве целевой следующую структуру капитала: 45% - заемный капитал; 2% — привилегированные акций; 53% — собственный капитал, то при варианте привлечения банковской ссуды под 20% годовых, стоимости капитала по привилегированным акциям 14%, требуемой доходности по акционерному капиталу 26% и налоге на прибыль 30%, стоимость всего капитала составит 20,36%:

где wd, wp, ws — доли элементов капитала в общем капитале; wd = D/V; ws = S/V.
Каждая тысяча рублей нового капитала, которым распоряжается корпорация XY, должна состоять из 450 руб. банковской ссуды, стоимость которой для корпорации 14%, 20 руб. привилегированных акций со стоимостью капитала 14% и 530 руб. собственного капитала (нераспределенная прибыль или дополнительная эмиссия акций) со стоимостью 26%. Средняя стоимость каждого привлекаемого рубля составит 20,36%.






