,
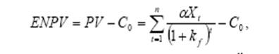
где α- коэффициент эквивалентности, отражающий отношение к риску субъекта, принимающего решение по проекту (например, финансового менеджера корпорации). Чем более для менеджера неприемлем риск, тем ближе к нулю значение α. Для проектов такого же риска, как и деятельность корпорации (среднего корпоративного риска), когда известна стоимость капитала и безрисковая доходность κf, можно оценить коэффициент эквивалентности.
Рассмотрим одногодичный проект среднего риска с ожидаемым чистым денежным потоком X = 5 млн. руб. Требуемая акционерами доходность с учетом среднего риска, например, равна 15%, и безрисковая ставка процента равна 10%. Корпорация использует только собственный капитал. Текущая оценка будущего денежного потока рассчитывается по формуле PV= X / (1 + WACC) — 5 / 1,15 = 4,35. Это негарантированный денежный поток. Нас интересует, при каком значении коэффициента эквивалентности текущая оценка негарантированного потока будет равноценна гарантированному значению: 5α/ (1 +κ) = 4,35, при κ = 10% α = 0,957. С точки зрения владельца капитала получение негарантированного чистого денежного потока по проекту в размере 5 млн. руб. или гарантированного в размере 4,785 млн. руб. (5 х 0,957 = 4,785) не представляет разницы.






