Срок службы тканей определяется их устойчивостью к различным видам воздействий (механическим, физическим, химическим, микробиологическим и др.), способностью сохранять приданные свойства и внешний вид при эксплуатации. Долговечность зависит и от социальных факторов: вследствие изменения моды наступает моральный износ изделий.
Основной износ изделий из ткани (например, одежды) происходит под воздействием многократно повторяющихся растяжений, сжатий, кручений, а также трения. Механическими свойствами называют способность тканей противостоять механическим воздействиям. К механическим свойствам тканей относятся: прочность, деформационные характеристики, сминаемость, жесткость, гибкость, драпируемость, износостойкость и др.
Прочность ткани на разрыв при растяжении является одной из основных характеристик ее качества. Максимальная нагрузка, выдерживаемая до разрыва полоской ткани определенного размера, называется разрывной нагрузкой.
Разрывная нагрузка определяется путем разрыва полосок ткани при их растяжении на разрывной машине.
|
|
|
Выражается разрывная нагрузка в ньютонах (Н), сантиньюто-нах (сН), деканьютонах (даН).
Прочность тканей зависит от волокнистого состава, структуры и линейной плотности образующих ее нитей (пряжи), строения и отделки. При прочих равных условиях наибольшую прочность имеют ткани из синтетических нитей. Увеличение линейной плотности нитей (пряжи), повышение абсолютной плотности ткани, применение переплетений с короткими перекрытиями и многослойных переплетений, проведение валки, декатировки, мерсеризации, аппретирования, нанесение пленочных покрытий приводят к повышению прочности тканей. Отваривание, отбеливание, крашение, ворсование несколько снижают прочность тканей.
|
|
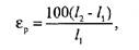
Деформационные свойства ткани определяют одновременно с прочностью на разрывной машине. Удлинение при разрыве (разрывное удлинение) - приращение длины испытуемого образца ткани в момент разрыва. Различают абсолютное удлинение (мм) и относительное удлинение (в, %), которое вычисляют по формуле
Удлинение тканей разного волокнистого состава и строения неодинаково. Так, шерстяные ткани характеризуются высокими деформационными свойствами, а льняные - незначительными; удлинение тканей полотняного переплетения меньше, чем саржевого, ткани из нитей эластик характеризуются очень большим удлинением. В направлении основы ткани, как правило, деформируются меньше, чем по утку. Это свойство учитывают при раскрое отдельных деталей одежды, располагая ткани вдоль основы.
Сопротивление истиранию. Устойчивость тканей к истиранию - важный показатель их эксплуатационных свойств, т. к. по нему можно судить о продолжительности срока службы тканей,
|
|
|
Глава 2
Текстильные товары
которые при эксплуатации часто подвергаются истирающим воздействиям.
Устойчивость тканей к истиранию зависит от вида применяемого волокна, вида нитей (пряжи), переплетения, плотности, характера поверхности, поверхностной плотности ткани, вида отделки.
Для определения стойкости тканей к истиранию используют разнообразные приборы. В зависимости от способа истирания различают приборы, осуществляющие чистое истирание и истирание с одновременным растяжением, изгибом или смятием.
Критерием оценки стойкости к истиранию по плоскости для тканей, имеющих гладкую фактуру, могут быть: количество истирающих циклов до образования сквозного отверстия и степень потери прочности на разрыв после заданного числа циклов истирания. Критерием оценки стойкости к истиранию ворсовых и начесно-ворсовых тканей следует считать потерю ворсового застила.
Износостойкость. Текстильные изделия в процессе эксплуатации испытывают многократные воздействия различной интенсивности: трение ткани о ткань и различные предметы, растяжения однократные и многократные, сжатие, изгиб, действие света, температуры, моющих растворов, микроорганизмов и др. В результате воздействия этих факторов происходят изменения тканей, которые приводят к ухудшению их свойств или полному разрушению (износу).
Под износостойкостью тканей понимают их способность сопротивляться разрушению под влиянием различных воздействий. Износостойкость тканей - важное эксплуатационное свойство, т. к. от нее во многом зависит срок службы изготовленных из них изделий. Чем выше износостойкость тканей, тем больше срок службы изделий.
Различают общий и местный износы тканей в одежде. Общий износ тканей характеризуется значительным ослаблением прочностных и других полезных свойств по всей площади изделий. При местном износе механическая прочность ткани снижается на небольших участках изделий; этот вид износа распространен чаще, чем общий.
Определяют износостойкость тканей с помощью опытной носки или лабораторным изнашиванием образцов на приборах. В обоих случаях ткань в изделии доводят до разрушения (образования дыры), после чего рассчитывают ее износостойкость.
При лабораторных испытаниях износостойкости определяют, как правило, единичные показатели. Для определения степени износа ткани используют следующие показатели: уменьшение разрывной нагрузки ткани после определенного срока ее носки; число воздействий, вызывающих разрушение ткани при трении, изгибе, многократных нагрузках, изменение вязкости растворов целлюлозы и др.






