При оценке качества тканей большое значение имеют их гигиенические свойства. Ткани должны защищать человека от вредных воздействий внешней среды, в т. ч. атмосферных воздействий, создавать нормальные условия для жизнедеятельности, быть безвредными (волокна и нанесенные на ткань препараты не должны выделять вредных примесей) и создавать максимальные удобства при носке. Создание максимальных удобств (комфортности) при носке швейных изделий зависит от способности ткани регулировать пододежный климат - газовый состав, влажность и температуру, снимать электростатические заряды и др.
Гигиеническими принято считать ряд физических свойств тканей, которые учитываются при изготовлении одежды определенного назначения. К гигиеническим свойствам относятся гигроскопичность, воздухопроницаемость, паропроницаемость, водоупорность, капиллярность, водопоглощаемость, намокаемость, пылеемкость, электризуемость, теплозащитные свойства и др. Эти свойства зависят от волокнистого состава, параметров строения и характера отделки тканей.
|
|
|
Гигроскопичность характеризует способность ткани впитывать влагу из окружающей среды (воздуха). Гигроскопичность (Й^) - влажность материала при 100%-й относительной влаж-
|
| ности воздуха и температуре 20 ± 2 °С. Ее можно определить по формуле, %: |
где тюо - масса образца материала, выдержанного в течение 4 ч при относительной влажности воздуха, равной 100%, г; тс - масса абсолютно сухого образца, г.
При оценке гигроскопических свойств текстильных материалов часто пользуются характеристикой их фактической влажности.
Влажность фактическая (И^) показывает содержание влаги в материале при фактической влажности воздуха и определяется
по следующей формуле, %:

где ^ - масса образца при фактической влажности воздуха, г; тс -масса абсолютно сухого образца, г.
Наибольшей гигроскопичностью обладают чистошерстяные изделия.
Гигроскопичность очень важна для изделий бельевого и летнего ассортимента. Способностью быстро впитывать влагу и быстро ее отдавать обладают льняные ткани, гигроскопичность которых около 12%. Хорошей гигроскопичностью обладают ткани из натурального шелка, вискозных волокон, хлопка, ацетатных волокон. Синтетические и триацетатные ткани имеют низкие значения показателей гигроскопичности.
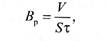
Воздухопроницаемость - способность пропускать воздух. Она зависит от волокнистого состава, плотности и отделки ткани и характеризуется коэффициентом воздухопроницаемости В, дм3/(м2-с), который показывает, какое количество воздуха проходит через единицу площади в единицу времени при определенной разнице давлений по обе стороны материала.
|
|
|
Коэффициент воздухопроницаемости подсчитывается по формуле

где V'- объем воздуха, прошедшего через материал, дм3; 5- площадь материала, м2; т - длительность прохождения воздуха, с.
Воздухопроницаемость очень важна для тканей бельевого и летнего ассортимента. Малоплотные ткани, имеющие большое количество сквозных пор, обладают хорошей воздухопроницаемостью и, следовательно, вентилирующей способностью. Плотные ткани из синтетических и триацетатных волокон, ткани со спецпропитками и отделками, создающими на поверхности материала пленочные покрытия и слои резины, не обладают воздухопроницаемостью или имеют низкий показатель этого свойства. Вместе с тем материалы с низкой воздухопроницаемостью обладают хорошей ветростойкостью. Именно поэтому ткани с пленочными покрытиями широко используются для изготовления штормовок, курток, стеганых пальто.
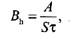
Паропроницаемость - способность ткани пропускать водяные пары. Коэффициент паропроницаемости В^, г/(м2-ч) показывает, какое количество водяных паров проходит через единицу площади материала в единицу времени:

где А - масса водяных паров, прошедших через пробу материала, г; 5 - площадь пробы материала, м2; т - время испытания, ч.
Паропроницаемость является важнейшим гигиеническим показателем материала, т. к. она обеспечивает выход излишней парообразной и капельно-жидкой влаги (пота) из пододежного слоя.
Паропроницаемость зависит от гигроскопических свойств волокон и нитей, составляющих ткань, и от пористости ткани, т. е. от ее плотности, вида переплетения и характера отделки.
Капиллярность характеризуется высотой (А, мм), на которую поднимается за определенное время {I ч) окрашенная жидкость
Глава 2
Текстильные товары
по полоске ткани размером 50 х 300 мм. Капиллярность непосредственно связана с волокнистым составом, пористостью и отделкой ткани.
Водопоглощаемость характеризуется процентным отношением массы влаги, поглощенной погруженным в воду образцом, к массе сухого образца:

где т - масса образца после намокания в течение 1 ч в дистиллированной воде при температуре 20 °С; тс - масса сухого образца.
Водоемкость, или намокаемость, - количество воды, поглощенной тканью площадью 1 м2.
Водоупорность - способность ткани сопротивляться первоначальному прониканию воды. Водоупорность особенно важна для ряда тканей специального назначения (брезента, палаток, парусины), а также для шинельных, шерстяных пальтовых, плащевых и курточных тканей. Водоупорность тканей определяется их волокнистым составом, показателями строения и характером отделки.
Теплозащитные свойства являются важнейшим гигиеническим показателем изделий зимнего ассортимента. Эти свойства зависят от теплопроводности волокон, образующих ткань, плотности, толщины и отделки ткани. Самым холодным волокном считается лен, т. к. он имеет высокие показатели теплопроводности, самым теплым - шерсть. Использование толстой пряжи, увеличение линейного заполнения ткани, применение многослойных переплетений, проведение в процессе отделки валки, ворсования, прессования увеличивают теплозащитные свойства ткани. Наиболее высокие показатели теплозащитных свойств имеют толстые плотные шерстяные ткани с начесом.
Электризуемостъ - способность тканей накапливать на своей поверхности статическое электричество. При соприкосновении и особенно при трении, неизбежно происходящих при использовании текстильных изделий и их химической чистке, на их по-
верхности постоянно идет процесс возникновения и рассеивания электрических зарядов. Если равновесие между возникновением зарядов и их рассеиванием нарушается, на поверхности текстильных материалов создается определенный электрический потенциал - происходит электризация. Электризуемость непосредственно связана с природой образующих материал волокон, их строением, влажностью.
|
|
|
Электризуемо сть различается по величине и полярности заряда. Установлено, что ткани, содержащие в своем составе различные синтетические волокна, могут быть сильно- или малоэлектризующимися, а также иметь положительную или отрицательную полярность. Природные волокна при трении накапливают положительные заряды, что благоприятно влияет на гигиенические свойства одежды.
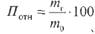
Пылеемкость - способность материалов удерживать пыль. Она характеризуется относительной пылеемкостью (/?отн, %)

где т - количество пыли, поглощенной материалом, г; /и0 - количество пыли, взятой для испытания, г.
Пылеемкость портит внешний вид ткани и способствует загрязнению одежды. Наибольшей пылеемкостью обладают ткани из рыхлых пушистых текстурированных нитей, материалы с вертикально стоящим ворсом (бархат, велюр, плюш, искусственная замша, вельветы и др.), рыхлые шерстяные ткани с начесом.
Эстетические свойства
К художественному оформлению тканей - разнообразию рисунков, цветовых тонов, их красочности, соответствию моде предъявляют высокие требования, т. к. ткани являются товарами массового потребления. Внешний вид тканей оказывает большое влияние на формирование спроса. Эстетические свойства формируются на всех стадиях производства тканей.
Глава 2
Текстильные товары
Основные эстетические свойства тканей - фактура, цветовое оформление, блеск, прозрачность, матовость, жесткость, драпиру-емость, упругость, сминаемость, стабильность формы в эксплуатации. Все эти показатели по-разному влияют на формирование эстетических свойств тканей и изготовленных из них изделий.
Фактура. Волокнистый состав, структурные особенности строения ткани, особенности ее отделки определяют фактуру ткани. Фактура тканей разнообразна и во многом зависит от их назначения. Разновидности ткани по фактуре: ткани с открытым ткацким рисунком - фактура гладкая, шероховатая, узорно-гладкая и узор-но-рельефная; ткани с закрытым и полузакрытым ткацким рисунком - фактура войлокообразная, начесно-ворсовая и ворсовая.
|
|
|
Колористическое оформление. По цветовому оформлению ткани могут быть отбеленными, гладкокрашеными, меланжевыми, пестроткаными, набивными (печатными), отваренными, кисло-ванными и суровыми.
При оценке текстильного рисунка определяют не только его художественный уровень, новизну, гармоничность формы и цветового оформления, но и соответствие назначению одежды и технологичность, т. е. возможность производственного исполнения.
По тематике рисунки на тканях делят на геометрические, орнаментальные, абстрактные, национальные, детские.
Эффекты заключительной отделки тканей - блестящая или матовая отделка, эффекты гофре и клоке, муаровая отделка, ажурные узоры, металлизированная поверхность и др.
Блеск и матовость зависят от фактуры ткани и внешних условий. Свет от гладкой поверхности ткани отражается в одном направлении (зеркально), и она кажется более блестящей. Если падающий свет отражается от поверхности в разных направлениях, т. е. рассеивается, то поверхность ткани представляется матовой. Блеск ткани зависит от гладкости волокон, равномерности коэффициентов преломления света, расположения волокон в нити (пряже), а также от строения ткани и способа отделки. Цвет тканей с блестящей поверхностью воспринимается более светлым и ярким, а тканей с матовой поверхностью - более темным.
Прозрачность тканей связана с их способностью пропускать лучи видимой части спектра. Чем больше поверхностное заполнение и толщина нитей, чем темнее окраска ткани, тем меньше ее просвечиваемость. Прозрачность имеет большое значение для блузочных, платьевых, сорочечных тканей и других текстильных изделий. В зависимости от степени прозрачности ткани можно подразделить на высокопрозрачные, прозрачные, полупрозрачные и непрозрачные.
Драпируемостъ - способность тканей образовывать складки под действием собственной массы. Ткани с хорошей драпирующей способностью образуют симметрично спадающие складки с малым рисунком кривизны. С увеличением жесткости и толщины драпи-руемость тканей ухудшается, вследствие чего образуются более крупные складки. Чем тоньше и легче ткань, тем легче мелкие ниспадающие складки.
Мягкость ткани зависит от многих факторов: свойств волокон, крутки пряжи, плотности, переплетения и отделки ткани.
Жесткость - величина, обратная мягкости, влияет на драпи-руемость и формоустойчивость тканей в изделиях. Для изготовления изделий с достаточно устойчивой поверхностью необходимо использовать ткани определенной жесткости.
Кроме показателя жесткости при изгибе, большое значение при органолептической оценке тканей имеет жесткость на ощупь, от которой во многом зависит туше ткани. Туше ткани определяют на ощупъ: чистошерстяная костюмная ткань из тонкой шерсти - упругая и мягкая; полушерстяная с синтетическим волокном - жесткая; крепдешин из натурального шелка - шелковистый со скрипом и т. д. Органе л ептически ткань оценивают в первую очередь по цвету и туше.
Сминаемость влияет на внешний вид тканей. Одежда из тканей, характеризующихся значительным упругим удлинением, сохраняет форму при эксплуатации. Если же одежда изготовлена из тканей, характеризующихся большими остаточными деформациями, то она быстро теряет форму, особенно на участках одежды, которые подвергаются интенсивному воздействию, - на локтях, коленях и т. д. Потеря формы не только портит внешний вид изделия, но
Глава 2
Текстильные товары
и отражается на его износостойкости, т. к, деформированная ткань быстрее изнашивается.
Волокнистый состав, строение и отделка тканей определяют ее сминаемость. Наибольшей сминаемостью обладают ткани из растительных волокон: хлопчатобумажные, вискозные, полиноз-ные и особенно чистольняные.
Ткани из волокон животного происхождения и ряда синтетических волокон (полиамидные, полиэфирные, полиуретановые, поли-олефиновые), обладающих высокой упругостью и эластичностью, слабо сминаются и восстанавливают первоначальную форму без влажно-тепловой обработки.
Увеличение крутки пряжи, повышение плотности тканей препятствуют смещению и деформации волокон при кручениях и сжатиях, поэтому уменьшают сминаемость тканей.
Сминаемость можно определить визуально (сжимая ткань в руке) при сравнении с эталонами или на приборах по углу восстановления складок в ткани после смятия.
Технологические свойства характеризуют способность ткани подвергаться обработке на разных стадиях процесса изготовления изделий. В процессе пошива изделий важны следующие свойства тканей: характер внешнего оформления (удобство раскроя), пластичность при влажно-тепловой обработке, драпируемость, осыпаемость и раздвижка нитей, прорубаемо сть, жесткость, мягкость, размерные показатели (ширина, длина), поверхностная плотность.
Пластичность ~ способность ткани к усадке и фиксированному удлинению при влажно-тепловой обработке.
Осыпаемость ткани по краям срезов - это следствие недостаточно прочного закрепления нитей в ткани. У тканей с большой осыпаемостью уменьшается прочность закрепления швов, что отражается на сроке службы и внешнем виде изделий.
Поц, раздвижкой понимают смещение нитей в тканях при эксплуатации под воздействием внешних сил. Раздвижка нитей чаще всего происходит около швов, а также в тех местах, где ткани в из-
делии испытывают многократные напряжения (пройма, спинка, локтевой шов, задний шов брюк и др.).
Прорубаемоспгь возникает при повреждении нитей иглой швейной машины. При пошиве изделий игла, прокалывая ткань, может пройти между нитями, повредить часть нити или разорвать ее. Степень прорубаемости зависит от подвижности нитей в ткани, их толщины, крутки и плотности расположения. На прорубаемость влияют толщина иглы и заостренность ее конца.
К технологическим свойствам следует отнести также сопротивляемость ткани загрязняемо сти, легкость очистки, восстановление формы тканей в изделиях после эксплуатации, стирки и химической чистки.
Скорость и степень загрязнения волокон и тканей зависят от их структуры: ткани более плотных гладких переплетений (сатинового, атласного) меньше загрязняются, чем полотняного. На степень загрязнения тканей влияют вид и количественное содержание синтетических волокон в тканях. Так, ткани, содержащие 40% полиэфирного волокна, при искусственном сухом методе загрязнения пылью загрязняются в 5-6 раз сильнее, чем костюмные чистошерстяные ткани аналогичного назначения, а ткани, содержащие 65% полиэфирных волокон, - даже в 10 раз сильнее. Установлено, что на загрязняемо сть этих тканей оказывает влияние характер загрязнителя: наиболее интенсивно загрязняются образцы тканей при воздействии гидрофильного загрязнителя (например, оксида железа), меньше - гидрофобного (например, сажи).
Факторы, влияющие на скорость и степень загрязнения волокон и тканей, несомненно, важны и при удалении загрязнений. При оценке способности волокон очищаться под действием стирки или химической чистки необходимо учитывать физические и химические свойства волокна, структуру ткани, характер загрязнителя и в зависимости от этого применять те или иные моющие средства или растворители, температуру, характер обработки, режим сушки и глаженья. Как правило, гидрофильные волокнистые материалы (хлопок, лен, вискоза) сравнительно легко загрязняются, но легко очищаются при стирке.
Глава 2
Текстильные товары
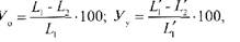
Усадка - уменьшение размеров под действием влаги и повышенных температур или только под действием повышенных температур (тепловая усадка). Усадка происходит при замачивании, обработке в водных растворах моющих средств, при влажно-тепловой обработке изделий после стирки или химической чистки.
Определение усадки производится в соответствии с методами, установленными стандартами: для шерстяных тканей после пробного замачивания образца ткани, для прочих - после пробной стирки.
Усадку определяют всегда отдельно по основе и утку и вычисляют по формулам, %:

где L{ и L [ - первоначальные размеры ткани по основе и утку;
L2 и L2 " размеры ткани по основе и утку после замачивания или стирки.
Усадка тканей зависит от их волокнистого состава, плотности и характера отделки.
Наибольшую усадку дают шерстяные изделия, высыхающие в свободном состоянии после замачивания или обработки в водных растворах моющих средств. Поэтому рекомендуется сухая химическая чистка одежды из шерстяных тканей.