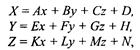
Запишем в виде формулы:
где А, В,..., Ν — константы.
Дадим также запись в матричной форме: 
Для трехмерного пространства любое аффинное преобразование также может быть представлено последовательностью простейших операций. Рассмотрим их.
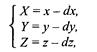
1. Сдвиг осей координат соответственно на dx, dy, dz:


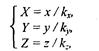
2. Растяжение/сжатие на кx, кy, кz.

3. Повороты. Можно сказать, что в трехмерном пространстве существует больше разновидностей поворота, сравнительно с двумерным пространством. Рассмотрим несколько частных случаев поворота.
Поворот вокруг оси xна угол φ (рис. 2. 12).

Рис. 2.12. Поворот вокруг оси X


Поворот вокруг оси у на угол ψ (рис. 2. 13, сверху).

Поворот вокруг оси z на угол γ (рис. 2. 13, снизу).

Рис. 2.13. Поворот вокруг осей y и z






