Это частный случай преобразований, который достаточно часто используется при создании графических пакетов.
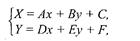
Зададим некоторую двумерную систему координат (x,у). Аффинное преобразование на плоскости описывается формулами

где А, В,..., F — константы. Значение (X, Y) можно рассматривать как координаты в новой системе координат.
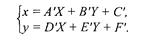
Обратное преобразование (X, Y) в (х, у) также является аффинным:

Аффинное преобразование удобно записывать в матричном виде. Константы А, В..... F образуют матрицу преобразования, которая, будучи умноженной на матрицу-столбец координат (x, у), дает матрицу-столбец (X, Y). Однако, чтобы учесть константы С и F, необходимо перейти к так называемым однородным координатам — прибавим еще одну строку в матрицах координат:

Теперь рассмотрим частные случаи аффинного преобразования.
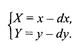
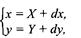
1. Параллельный сдвиг координат (рис. 2. 9).

Рис. 2.9. Параллельный сдвиг координат

В матричной форме 
Обратное преобразование: 

2. Растяжение-сжатие осей координат (рис. 2. 10).

Рис. 2.10. Растяжение-сжатие осей координат
|
|
|

Обратное преобразование: 
Коэффициенты kx и ky могут быть отрицательными. Например, kx = -1 соответствует зеркальному отражению относительно оси y.
3. Поворот (рис. 2. 11).

Рис.2.11. Поворот

Обратное преобразование соответствует повороту системы (X, Y) на угол (-α).


Свойства аффинного преобразования.
• Любое аффинное преобразование может быть представлено как последовательность операций из числа указанных простейших: сдвиг, растяжение/сжатие и поворот.
• Сохраняются прямизна линии, параллельность прямых, отношение длин отрезков, лежащих на одной прямой, и соотношение площадей фигур.