При ядерном взрыве Pо = P ∙ t1,2= ,Р/ч
где t= Tвх - Tвзр =, ч;
При аварии на АЭС Pо = P ∙ t0,5=,Р/ч
Расчет времени спада уровня радиации до фонового значения (15 мкР/ч) от Роя и Роа:
ядерный взрыв tcя = 10(0,831(lg Pо) +4) = ч;
авария на АЭС tcа = 10(2(lg Pо) +9,65) = ч.
Расчет времени пребывания в зоне (ч):
tз= Tвых – Tвх= ч.
Расчет кривых спада уровней радиации от эталонного уровня до фоновых значений: ядерный взрыв
;
авария на АЭС
.
| t, ч | ||||||||
| Ря,Р/ч | ||||||||
| Ра,Р/ч |
Р, Р/ч
0 2 4 6 8 10 10 20 40 60 80 100
|
|
|
t,ч
Спад уровня радиации во времени после ядерного (1) взрыва, после аварии на АЭС (2)
2.Время начала выпадения радиоактивных осадков на объекте(ч)
3. Уровень радиации на время эвакуации Рэв, Р/ч
ядерный взрыв
;
авария на АЭС
;
где t=Твых - Твзр.= ч.
.
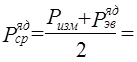
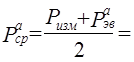
Средний уровень радиации Рср за время пребывания в зоне, Р/ч
![]() | ![]() |
Полученная доза облучения человека на территории зоны, Р:
![]() | ![]() |
Полученная доза облучения человека в деревянном доме, Р:
Полученная доза облучения человека в каменном здании, Р:
![]() | ![]() |
Полученная доза облучения человека в укрытии, Р:
![]() | ![]() |
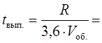
Допустимое время пребывания человека на территории, ч:
![]() | |||
![]() |
Приложение 1.1
















