При изготовлении этанольных, водно-этанольных и водных растворов лекарственных веществ в объемной и массообъемной концентрации наблюдается изменение объема, как правило, в сторону увеличения, обусловленное физико-химическим характером процесса растворения. При разведении этанола водой (явление контракции) наблюдается уменьшение объема, обусловленное образованием спиртогидратов, которые занимают меньший объем, чем исходные объемы этанола и воды, взятой для разведения. Если изменение объема укладывается в норму допустимого отклонения, регламентированного соответствующим приказом Минздрава России, им пренебрегают, и объем растворителя будет равен объему раствора, в противном случае его следует учитывать.
При изготовлении растворов в измерительных приборах, градуированных «на налив» (мерные колбы, цилиндры и т. п.), прирост объема учитывается автоматически. При изготовлении растворов с использованием измерительных приборов, градуированных «на вылив», объем растворителя рассчитывают: объем воды очи-
щенной для разведения этанола до требуемой концентрации — с помощью специальных алкоголеметрических таблиц, приведенных в ГФ и «Инструкции по изготовлению в аптеках жидких лекарственных форм», а изменение объема, возникающее при растворении твердых веществ с помощью коэффициентов увеличения объема (КУО) растворяемых веществ. КУО показывает увеличение объема (мл) при растворении 1, 0 г вещества. Для суммы растворяемых веществ согласно нормативным документам предусмотрен учет изменения объема при суммарной концентрации растворяемых веществ 3 % и более.
Для индивидуального вещества может быть рассчитана максимальная концентрация, при которой изменение объема еще будет укладываться в норму допустимого отклонения по формуле:
![]() |
где N — норма допустимого отклонения, %; КУО — числовое значение коэффициента увеличения объема.
Учет изменения объема для водных и этанольных растворов имеет различия и будет разобран на конкретных примерах.
Если в прописи рецепта растворитель не указан, изготавливают водный раствор. Если в прописи рецепта без указания концентрации лекарственного вещества выписан раствор, представленный в нормативном документе в виде нескольких концентраций, то изготавливают раствор с меньшей концентрацией.
Этанольные растворы. В аптечной практике применяют не абсолютный этанол, а водно-этанольные растворы разной объемной концентрации, выраженной в процентах. На этанол разной концентрации утверждены соответствующие фармакопейные статьи.
Для медицинских целей этанол получают в результате брожения крахмалсодержащего сырья (в основном картофеля и пшеницы) и последующей ректификации (многократной перегонки). Летучие примеси, сопутствующие этанолу, отличаются большим разнообразием. В числе летучих примесей обнаружено более 70 различных веществ: спирты, альдегиды, эфиры, кислоты и др. В последние годы выделяют группу азотистых и сернистых соединений. Происхождение и характер примесей зависят от вида и качества сырья, технологических режимов его переработки, типа применяемого оборудования. Например, уксусноэтиловый эфир, уксусный альдегид, н -пропиловый, изобутиловый, изоамиловый спирты характерны для брожения всех видов сырья. В процессе ректификации содержание примесей в этаноле уменьшается в 300 раз.
Впервые этанол был получен в XII в. при перегонке жидкостей, содержащих спирт (чаще всего — вина), поэтому его назвали Spiritus vini — «Дух вина». Формула была установлена в 1807 г.
Спирт этиловый (Spiritus aethylici), этанол, — прозрачная бесцветная подвижная жидкость с характерным запахом и жгучим вкусом; горит синеватым бездымным пламенем; смешивается в любых соотношениях с водой очищенной, глицерином, хлороформом, эфиром, димексидом, ацетоном; не смешивается с жирными маслами (кроме касторового).
Плотность 95 % (по объему) этанола 0, 812 — 0, 808 г/мл, 70% — 0, 886-0, 883 г/мл.
При концентрациях более 70 % прижигает кожу и слизистые оболочки. Этанол легко воспламеняется при температуре 13 С. Пределы взрываемости: температура 11—41 "С, концентрация 3, 6 — 19% (по объему). Предельно допустимая концентрация в воздухе рабочей зоны — 1000 мг/м3. Диэлектрическая проницаемость 25, 7. Способен растворять как полярные, так и неполярные вещества. Вязкость 1, 17 мПа-с (при температуре 20 °С).
Этиловый спирт хранят в прохладном месте в хорошо укупоренной таре. При хранении в открытых сосудах одновременно испаряется и поглощает воду из воздуха, вследствие чего уменьшается его концентрация.
Химически чистый этиловый спирт нейтрален. Этанол химически неиндифферентен: окисляется до ацетальдегида и уксусной кислоты; гидролизуется с образованием метана, этилена и других продуктов; обладает дегидратирующими свойствами; с водой образует спиртогидраты (реакция идет с выделением тепла и уменьшением объема). Наибольшая контракция наблюдается при смешивании 52 объемов спирта и 48 объемов воды, что было установлено Д. И. Менделеевым и описано в работе «Соединение спирта с водой» (1865). При таком соотношении при нормальных условиях вместо 100 объемов водного раствора этанола получается 96, 3 мл (на 3, 7 мл меньше). Норма допустимого отклонения ±3%, т. е. изменение объема выше нормы допустимого отклонения.
Этанол фармакологически неиндифферентен: обладает бактерицидным действием даже в концентрации 29%; влияет па все ткани организма (в первую очередь — на нервную); обладает наркотическим действием.
И. М. Сеченов начал первым изучать влияние алкоголя па кровь и установил, что он понижает количество кислорода в крови. Кроме того, он установил, что этиловый спирт усиливает процессы возбуждения и парализует процессы торможения. Пары этанола вредны для человека. Принятый внутрь этанол концентрируется прежде всего в мозге. Применение этанола ограничивают, используя только тогда, когда он выписан в прописи рецепта (в основном для наружных целей) как дисперсионная среда и фармакологически активный компонент, обладающий антисептическим и раздражающим действием. Внутрь применяют в составе настоек или экстрактов. Этанол может входить в состав противошоковых жидко-
стей, иногда его вводят внутривенно при гангрене и абсцессе легкого в виде 20 — 33% раствора в изотоническом растворе натрия хлорида.
Абсолютный этанол в аптеки не поступает, так как его получение связано с дополнительным обезвоживанием азеотропной смеси — этанола с водой, которая уже не разделяется в процессе ректификации. Азеотропная смесь содержит 97, 2 % (по объему) этанола, ее температура кипения составляет 78, 12°С.
Если концентрация этанола в прописи рецепта не указана, то в соответствии с ГФ применяют 90% этанол, за исключением растворов, приведенных в прил. к «Инструкции по изготовлению в аптеках жидких лекарственных форм» (табл. 11. 5).
| Перечень стандартных этанольных растворов | |
| Раствор | Концентрация этанола, % |
| Бриллиантового зеленого 1 % и 2% | |
| Йода 1 % и 2 % | |
| Йода 5 % | 95 (разбавленный водой очищенной поровну) |
| Кислоты борной 0, 5; 1; 2; 3 % | |
| Кислоты салициловой 1; 2% | |
| Кислоты салицилоной и лево- мицетина поровну по 2 % | |
| Левомицетина 0, 25; 1; 3; 5 % | |
| Левомицетина 2% | |
| Новокаина 1% | |
| Меновазина (ментол 2, 5 %; новокаин 1 %; анестезин 1 %) | |
| Ментола 1 %; 2 % | |
| Метиленового синего 1 % | Этанола 95 (разбавленный водой очищенной в соотношении 6: 4) |
| Новокаина 2% | |
| Водорода пероксида 1, 5 % | 95 (смешанный с раствором водорода пероксида водного в соотношении 1: 1) |
| Резорцина 1 %; 2 % | 70 (натрия сульфита в качестве аитиоксиданта — 1 %) |
| Танина 4% | |
| Фурацилина 1: 1500 | |
| Цитраля 1 % |
Фармацевтическая экспертиза прописи рецепта. Этанол находится в списке наркотических веществ. Норма отпуска (по одному рецепту) в смеси с другими ингредиентами при индивидуальном изготовлении лекарства — 50 г (в пересчете на этанол учетной концентрации); в чистом виде «Для наложения компрессов» или «Для обработки кожи» отпускают до 150 г.; больным с хроническим течением болезни с надписью «По специальному назначению», скрепленной подписью врача и печатью лечебного учреждения — 100 г. На оборотной стороне рецепта указывают массу 95 % этанола, использованного при изготовлении препарата.
Заранее подбирают вспомогательный материал: флакон для отпуска с узким горлом, навинчивающуюся крышку, резиновую или полимерную пробку для герметичности, в крайнем случае — полимерную или пергаментную прокладку. Флакон должен быть простерилизован, так как регламентируется микробиологическая чистота, и сухим во избежание снижения растворяющей способности этанола.
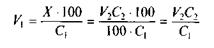
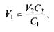
Расчеты. Предположим, в прописи рецепта выписан 70 % этанол в объеме 50 мл. В аптеке имеется этанол 95% концентрации. Объем 95% этанола, мл, можно рассчитать по формуле:
тогда

где V1 — объем 95 % этанола, мл; V2 — объем этанола желаемой концентрации, мл; С2 — требуемая концентрация этанола, %; С1 — исходная концентрация этанола, %.
Эту формулу используют также при расчетах, связанных с разбавлением стандартного раствора, выписанного в прописи рецепта под химическим названием.
Формулу разведения можно получить из двух пропорций:
С2 - 100 мл С1 - 100 мл
X - V2X - V1

или
V1C1 = V2С2.
Объем воды очищенной рассчитывать по разности объемов не разрешается (явление контракции). Поэтому необходимый объем
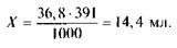
70% этанола (в приведенном примере) получают в мерной посуде путем добавления к 36, 8 мл 95 % этанола воды очищенной до объема 50 мл либо используют для расчета объема воды алкоголеметрическую таблицу (см. ГФX, табл. 3). В таблице указано, какой объем воды очищенной следует прилить к 1000 мл крепкого спирта (при температуре 20 °С), чтобы получить спирт требуемой концентрации. В рассматриваемом примере для получения 70 % этанола к 1000 мл 95 % этанола следует прилить 391 мл воды очищенной. Составив пропорцию, найдем необходимое количество воды:
1000 мл — 391 мл воды 36, 36,8 мл - X

Контракция в данном случае составит 1,2 мл, что укладывается в норму допустимого отклонения для данного объема (± 4%, или ±2 мл).
Для расчетов объемов крепкого этанола и воды очищенной в зависимости от концентрации исходного этанола удобно пользоваться алкоголеметрическими таблицами (см. ГФ X, табл. 4 или 5). В нашем примере следует использовать табл. 4, в которой указаны объемы концентрированного этанола и воды очищенной для получения 1000 мл спирта нужной концентрации.
Так, для получения 1000 мл 70% этанола необходимо смешать 737 мл 95% этанола и 288 мл коды очищенной.
737 мл — 1000 мл
X1 — 50 мл X1 = 36, 8 мл 95 % этанола,
288 мл воды — 1000 мл
Х2 — 50 мл X, = 14, 4 мл воды
или
737 мл — 288 мл
36, 8 — X X = 14, 4 мл воды.
Массу 95% этанола (для учета) можно рассчитать, используя значение его плотности по алкоголеметрической таблице (ГФ X, табл. 1) (0, 8114 г/мл • 36, 8 мл = 29, 86 г) или найти по алкоголеметрической таблице «Инструкции по изготовлению в аптеках жидких лекарственных форм». Рассчитанную массу записывают на оборотной стороне рецепта.
При растворении в этаноле лекарственных веществ, содержание которых в растворе >3 %, будет иметь место изменение (прирост) объема раствора, которое не укладывается в норму допустимого отклонения ±4% (для объема 50 мл).
Прирост объема рассчитывают по формуле:
∆V = М КУО,
где М — масса лекарственного вещества в прописи рецепта, г; КУО — коэффициент увеличения объема, мл/г.
В том случае, если в этаноле растворяют несколько лекарственных вешеств, формула принимает вид:
∆V = Σ(М 1КУО1 + М2КУ02+ … + МnКУОn).
Так как этанол не только растворитель, но и фармакологически активный компонент, то в соответствии с «Инструкцией по изготовлению в аптеках жидких лекарственных форм» его объем V, указанный в рецепте, не уменьшают на величину прироста объема, полученного при растворении лекарственных веществ. Прирост объема отразится на общем объеме препарата V пр (он увеличится), что и учитывают при контроле:
Vпр = Vэт + Vл. в
где V эт — объем этанола, мл; Vл. в — объем лекарственного вещества (веществ), мл.
В тех случаях, когда в прописи рецепта выписан еще и водный раствор, объем может не увеличиться, а даже уменьшиться за счет контракции.
Иначе обстоит дело в тех случаях, когда в прописи рецепта указан объем не этанола, а этанольного раствора:
