Rp.: Solutionis Natrii chloridi 0, 9% 100 ml
DS. Примочка Необходимо рассчитать теоретическую осмолярность раствора:
![]() |
Известно, что 0, 9 % раствор натрия хлорида изотоничен слезной жидкости и плазме крови, следовательно, концентрация 306 моcм — изоосмолярная.
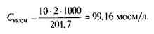
Рассчитаем теоретическую осмолярность раствора эфедрина гидрохлорида:
![]() |
99, 16 моcм < 306 моем, следовательно, 1 % раствор эфедрина гидрохлорида гипотонический и его следует изотонировать, до-
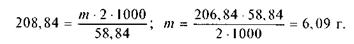
бавив определенное количество натрия хлорида, который бы создал недостающую до изотонирования концентрацию (208, 84 моcм):
308 - 99, 16 = 206, 84 мосм/л;
![]() |
Таким образом, чтобы раствор был изотоничен (изоосмотичен) слезной жидкости необходимо добавить 6, 09 г натрия хлорида на 1 л раствора или 0, 06 г на 10 мл глазных капель.
Кроме натрия хлорида для изотонирования офтальмологических растворов применяют натрия сульфат и натрия нитрат при условии, что они совместимы с лекарственными веществами. Например, натрия сульфат следует применять при изотонировании капель с цинка сульфатом (при отсутствии в прописи борной кислоты), поскольку с натрия хлоридом будет образовываться более токсичный и малодиссоциируемый цинка хлорид основной. При изотонировании другими изотонирующими веществами расчеты сначала ведут по натрия хлориду, а затем полученный результат умножают на коэффициент пересчета, который равен: для натрия сульфата — 4, 35; для натрия нитрата — 1, 51; для кислоты борной — 1, 89.
|
|
|
Изогидричность. Желательно, чтобы офтальмологические растворы были приблизительно изогидричны, т. е. имели интервал рН среды в пределах 7, 3-9, 7. Однако глаз человека относительно хорошо переносит значения рН в пределах 5, 5—11, 4. Более низкие значения рН (ниже 5, 5) и более высокие (выше 11, 4) могут быть причиной появления болевых ощущений. Оптимальное значение рН офтальмологических растворов создают с учетом необходимости обеспечения стабильности.
Стабильность. Тепловая стерилизация и длительное хранение растворов в стеклянной таре могут привести к разрушению многих лекарственных веществ вследствие гидролиза, окисления и других процессов. Стабилизация может быть обеспечена добавлением веществ, регулирующих рН среды, антиоксидантов и консервантов. Лекарственные вещества, применяемые в офтальмологических растворах, можно разделить на три группы в зависимости от рН растворов, соответствующих наибольшей стабильности.
В первую группу входят соли алкалоидов и синтетических азотистых оснований, а также другие вещества, устойчивые к гидролизу и окислению в кислой среде. Эти вещества рекомендуется стабилизировать борной кислотой в изотонической концентрации (часто совместно с левомицетином в качестве консерванта), а также буферными растворами разных составов, обеспечивающими устойчивость реакции среды, например:
|
|
|
1) изотонический 1, 9% раствор борной кислоты, левомицетина 0, 2% (рН 5, 0) (для глазных капель, содержащих дикаин, кокаина гидрохлорид, новокаин, мезатон и соли цинка);
2) буферный раствор, содержащий кислоту борную 1, 84%, натрия тетрабората — 0, 14%, левомицетина — 0, 2% (рН 6, 8) — для глазных капель атропина сульфата, пилокарпина гидрохлорида, скополамина гидробромида;
3) буферный раствор, представляющий собой смесь 70 мл 0, 8 % раствора безводного однозамещенного натрия фосфата, 30 мл 0, 95 % раствора безводного двузамещенного натрия фосфата и 0, 5 % натрия хлорида (рН 6, 5) — для глазных капель препаратов, указанных в пункте 2, а также эфедрина гидрохлорида, гоматропина
гидробромида.
Вторая группа включает вещества, устойчивые в щелочной среде: сульфацил-натрия, норсульфазол-натрия и др. Их можно стабилизировать натрия гидроксидом, натрия гидрокарбонатом, натрия nетраборатом и буферными смесями со щелочным значением рН.
В третью группу входят легкоокисляющиеся вещества. Для стабилизации таких глазных капель применяют антиоксиданты (табл. 12. 1).
| антиоксиданты, применяемые для стабилизации глазных капель | |||||
| Haтрия тиосульфат | Натрия метабисульфит | Трилон Б | |||
| С, % | Капли | С, % | Капли | С, % | Капли |
| 0, 05 | Дикаина 1, 2, 3 % | 0, 1 | Мезатона 1 % | ||
| 0, 15 | Сульфацил-натрия 10, 20, 30 % (в том числе для новорожденных) в 0, 35 % растворе 1М хлористоводородной кислоты | Фетанола 3 % | 0, 03 | Рибофлавина 0, 02 % Калия йодида Глюкозы поровну по 2 % (в том числе с 1 % МЦ) | |
| 0, 5 | Сульфацил-натрия 20 % в 1, 8 % растворе 0, 1М натрия гидрооксида Физостигмина салицилата 0, 25 % |
Комплексный антиоксидант (натрия метабисульфит 0, 1% и трилон Б 0, 03 %) используют в каплях следующего состава, %:
рибофлавин................................................ 0, 02
кислота аскорбиновая............................. 0, 2
глюкоза......................................................................... 2
(в том числе с 1 % МЦ)
В нормативных документах представлены прописи препаратов (табл. 12. 2), для которых возможна внутриаптечная заготовка или
| Прописи глазных капель и офтальмологических растворов для орошения, содержащие стабилизаторы | ||||
| Наименование и состав раствора | Режим стерилизации | Температура хранения, "С | Срок годности, сут | Особенное™ технологии изготовления |
| Растворы дикаина 1, 2, 3%, состав: дикаин 0, 1; 0, 2; 0, 3 г натрия хлорид 0, 072, 0, 053, 0, 035 г натрия тиосульфат 0, 005 г вода очищенная до 10 мл | 120 С, 8 мин | ≤25 3-5 | Список А Приблизительно в 3/4 объема воды очищенной растворяют дикаин, в остальном объеме — натрия тиосульфат и натрия хлорид. После рас- творения веществ растворы объеди- няют. Растворы 2 и 3 % хранить в хо- лодильнике нельзя | |
| Раствор мезатона 1 %, состав: мезатон 0, 1 г натрия хлорид 0, 056 г натрия метабисульфит 0, 01 г вода очищенная до 10 мл | 120°С, 8 мин | ≤25 3-5 | ** | |
| Рибофлавин 0, 002 г Калия йодид 0, 2 г Глюкоза (безводная) 0, 2 г Трилон Б 0, 003 г Вода очищенная до 10 мл | 100°С, 30 мин | ≤25 3-5 | ** |
| Наименование и состав раствора | Режим стерилизации | Температура хранения, °С | Срок годности, сут | Особенности технологии изготовления |
| Рибофлавин 0, 002 г Кислота аскорбиновая 0, 02 г Глюкоза (безводная) 0, 2 г Натрия метабисульфит 0, 01 г Трилон Б 0, 003 г Вода очищенная до 10 мл | 100°С, 30 мин | ≤25 3-5 | 7 30 | Вода очищенная должна быть свежекипяченая * ** |
| Раствор сульфацил-натрия 20%, состав: сульфацил-натрия 2, 0 г натрия метабисульфит 0, 05 г раствор натра едкого 1 М 0, 18 мл вода очищенная до 10 мл | 100 С, 30 мин | 3-5 | ** | |
| Растворы сульфацил-натрия 10, 20, 30%, состав: сульфацил-натрия 1, 0; 2, 0; 3, 0 г натрия тиосульфат 0, 015 т раствор кислоты хлористоводородной 1 М 0,035 мл вода очищенная до 10 мл | 120 С, 8 мин | ≤25 3-5 | 30 30 | Раствор можно использовать для инсталляции новорожденным детям ** |
| Раствор фетанола 3 %, состав: фетанол 0, 3 г натрия метабисульфит 0, 01 г вода очищенная до 10 мл | 120 С, 8 мин | ≤25 3-5 | 30 30 | ** |
| Раствор физостигмина салицилата 0, 25 %, состав: физостигмин салицилата 0, 025 г кислота никотиновая 0, 003 г натрия метабисульфит 0, 003 г натрия хлорида 0, 08 г вода очищенная до 10 мл | 120 С, 8 мин | ≤25 3-5 | 30 30 | ** |
| Наименование и состав раствора | Режим стерили- зации | Темпе- ратура хране- ния, С | Срок годно- сти, сут | Особенности технологии изготовления |
| Солевые офтальмологиче- ские растворы: Состав 1: натрия хлорид 5, 30 г калия хлорид 0, 75 г кальция хлорид (безвод- ный) 0, 48 г натрия ацетат (безвод- ный) 3, 90 г глюкоза (безводная) 0, 80 г кислота хлористоводо- родная разведенная 8 % - 0, 05 мл вода очищенная до 1 л Состав 2 (с магния сульфатом): кроме перечисленных выше компонентов в тех же количествах содер- жится 0, 30 г магния сульфата | 120°С, 15 мин (для объема 500 — мл) | ≤25 | Применяют при микрохирургических опера- циях глаза |
* В прописях, содержащих метилцеллюлозу (1 %) в качестве пролопгатора отдельно изготавливают раствор МЦ и лекарственных веществ (в концентрации в 2 раза большей). После растворения веществ оба раствора соединяют. Изготов ление раствора МЦ (см. гл. 14 «Растворы высокомолекулярных веществ»).
|
|
|
** Хранят в защищенном от света месте.
изготовление в условиях малосерийного производства со сроком годности 30 сут и более. Некоторые прописи содержат стабилизаторы.
Прозрачность, отсутствие механических включений. Офтальмологические растворы должны быть прозрачными и не содержать взвешенных частиц, способных вызвать травму оболочек глаза. В качестве фильтров для них необходимо использовать лучшие сорта фильтровальной бумаги, причем под фильтр подкладывают небольшой тампон длинноволокнистой ваты. Особенности методики фильтрования малых объемов растворов (см. гл. 11) относятся и к методике изготовления глазных капель.
Лекарственные и вспомогательные вещества растворяют в половине объема растворителя, фильтруют через тщательно промытый фильтр, оставшийся объем растворителя фильтруют и прове-
|
|
|
ряют отсутствие механических включений с помощью прибора УК-2. При наличии механических включений фильтруют раствор через тот же фильтр до их исчезновения. После стерилизации вновь проводят контроль на наличие механических включений. В случае их выявления раствор отбраковывают.
По прописям, часто встречающимся в рецептуре, целесообразно прибегать к помощи концентрированных растворов, изготовляемых в аптеке на установленные сроки, что освобождает фармацевта от фильтрования малых объемов жидкостей.
Пролонгирование. Желательно, чтобы глазные капли обладали продолжительным действием. Продление действия может быть достигнуто повышением вязкости водных растворов. Для этой цели пригодны ПВС, МЦ и Na-КМЦ, полиакриламид (ПАА.) Эти вещества не влияют на зрение и обеспечивают необходимый контакт препаратов с глазом, не раздражая его. Применяемые разбавленные растворы ПВС (1-2%), Na-КМЦ (1, 5%) и МЦ (0, 5-1 %) легко стерилизуются, при хранении в холодильнике остаются прозрачными.
В «Методических указаниях по изготовлению стерильных растворов в аптеке» имеются прописи сложных глазных капель с рибофлавином, содержащих I % МЦ (см. примечание к табл. 12. 2).
Внутриаптечная заготовка. Малые объемы и массы лекарственных веществ, выписываемые в виде глазных капель, часто осложняют и замедляют процесс изготовления препарата. Поэтому аптеки переходят па внутриаптечную заготовку глазных капель по прописям, наиболее часто встречающимся в рецептуре. Это позволяет усовершенствовать процесс фильтрования, более организованно провести стерилизацию, организовать полный химический анализ каждой серии растворов и тем самым значительно сократить сроки изготовления и отпуска глазных капель. К тому же при внутриаптечной заготовке одновременно расфасовывают капли в стандартные флаконы по 5 или К) мл под резиновую пробку с последующей обкаткой алюминиевыми колпачками.
В приложении к приказу «О контроле качества лекарственных средств, изготовляемых в аптеках» приведен большой список прописей глазных капель, заготавливаемых в аптеках на разные сроки.









