Элементы систем автоматического управления в структурных схемах принято изображать в следующем виде:
1. Звено обозначают в виде прямоугольника, с указанием входного и выходного параметров, например:

Рис.54. Условное изображение звена в структурной схеме
Для удобства внутри прямоугольника может быть указана передаточная функция.
Допускается вместо W(р) указывать уравнение или характеристику звена. Обозначения входных и выходных параметров записывают в виде изображений или оригиналов в зависимости от обозначения в прямоугольнике. Допускается нумерация звеньев и представление их передаточных функций, уравнений или характеристик вне схемы.
2. Канал передачи сигнала изображается линией со стрелкой, указывающей направление прохождения сигнала.
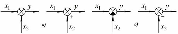
3. Сравнивающие элементы изображаются в следующем виде:

Рис.55. Условное изображение сравнивающего элемента:
а) у = х1 + х2 б) у = х1 - х2






