Система автоматического управления представлена структурной схемой, приведенной на рисунке 63:

Рис.63. Структурная схема САУ
Требуется определить диапазон значений передаточного коэффициента k p управляющего устройства, при котором система будет устойчивой, при следующих параметрах:

Решение:
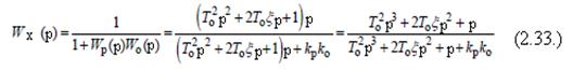
Определим передаточную функцию всей системы:

Заменим
(2.34.)
и получим характеристическое уравнение системы следующего вида:
(2.35.)
В соответствии с критерием Гурвица и рассмотренным Примером 1, для устойчивой системы, описываемой характеристическим уравнением третьего порядка справедливо неравенство:
a1a2 > a0a3 (2.36.)
поэтому подставив имеющиеся данные, получим:
a1a2 = 0,09 х 1 > 0,01 х 0,26kр = a0a3, где 0 < kр < 34,62 (2.37.)
Диапазон значений передаточного коэффициента управляющего устройства, при котором система будет устойчивой, найден.






