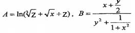
Задание. Вычислить выражения А и В при некоторых значениях входящих в них переменных x, y, z. Значения переменных выбрать самостоятельно, учитывая область допустимых значений А и В.

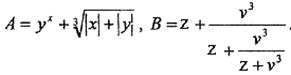
Рис. 3. Пример
выполнения задания
по теме «Алгебраические выражения»
Методические указания к выполнению задания:
· вывести заданные выражения для наглядности в виде объекта с помощью Редактора формул (MS Equation).
· задать ячейкам с исходными данными имена (присвоить ячейкам B1, В2, В3 соответственно имена X, Y, Z).
· применить метод последовательной детализации для вычисления заданных арифметических выражений:
- разбить каждое из выражений на отдельные, достаточно простые части (А: А1, А2, А3; В: В1, В2);
- выделить повторяющиеся вычисления (А1) в отдельную формулу;
- последовательно вычислять отдельные части каждого выражения в соответствии с разработанным линейным алгоритмом.
Такое разбиение имеет следующие преимущества:
1) наглядность алгоритма вычислений;
2) локализация ошибок (ошибки быстрее находятся в коротких выражениях, чем в длинных и сложных).
· Снабдить промежуточные вычисления смысловыми комментариями.
G Примечание. Факториалом натурального числа n (пишут: n!) называется произведение первых n натуральных чисел, т.е. n!=1∙2∙3∙…∙n.
1.1.1. Варианты заданий по теме «Алгебраические выражения» [1.1]
| № | Задание | |||
| 1. | | |||
| 2. | | |||
| 3. |
| |||
| 4. | | |||
| 5. | | |||
| 6. | | |||
| 7. | | |||
| 8. | | |||
| 9. |
| |||
| 10. | | |||
| 11. | | |||
| 12. | | |||
| 13. | | |||
| 14. | | |||
| 15. | | |||
| 16. | | |||
| 17. | | |||
| 18. | | |||
| 19. | | |||
| 20. | | |||
| 21. | | |||
| 22. | | |||
| 23. | | |||
| 24. | | |||
| 25. | | |||
| 26. | | |||
| 27. | | |||
| 28. | | |||
| 29. | | |||
| 30. | |








